Официальное опубликование правовых актов
ОФИЦИАЛЬНОЕ ОПУБЛИКОВАНИЕ
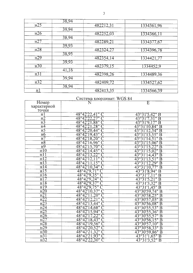
Приказ комитета государственной охраны объектов культурного наследия Волгоградской области от 06.11.2020 № 287
"Об утверждении описания местоположения границ защитных зон объектов культурного наследия, расположенных на территории Калачевского района Волгоградской области, режима использования земель в границах данных защитных зон"
Номер опубликования: 3401202011090001
Дата опубликования: 09.11.2020
Страница №19 из 32:
Увеличить