Официальное опубликование правовых актов
ОФИЦИАЛЬНОЕ ОПУБЛИКОВАНИЕ
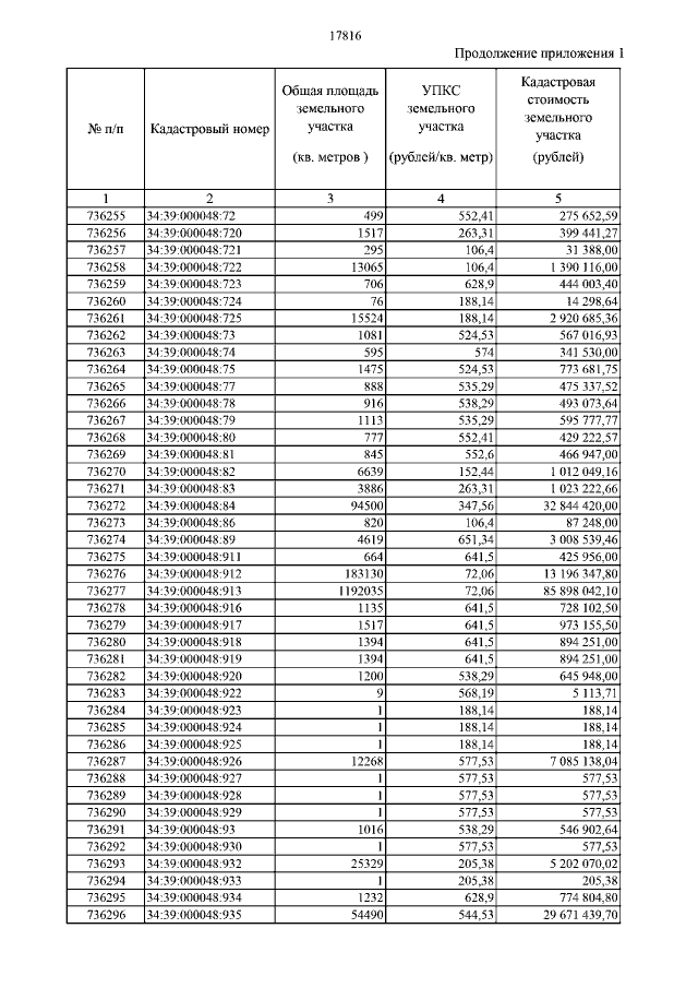
Приказ комитета по управлению государственным имуществом Волгоградской области от 30.10.2020 № 79-н
"Об утверждении результатов государственной кадастровой оценки земельных участков категории "Земли населенных пунктов" на территории Волгоградской области"
Номер опубликования: 3401202011080001
Дата опубликования: 08.11.2020
Страница №17819 из 17823:
Увеличить