Официальное опубликование правовых актов
ОФИЦИАЛЬНОЕ ОПУБЛИКОВАНИЕ
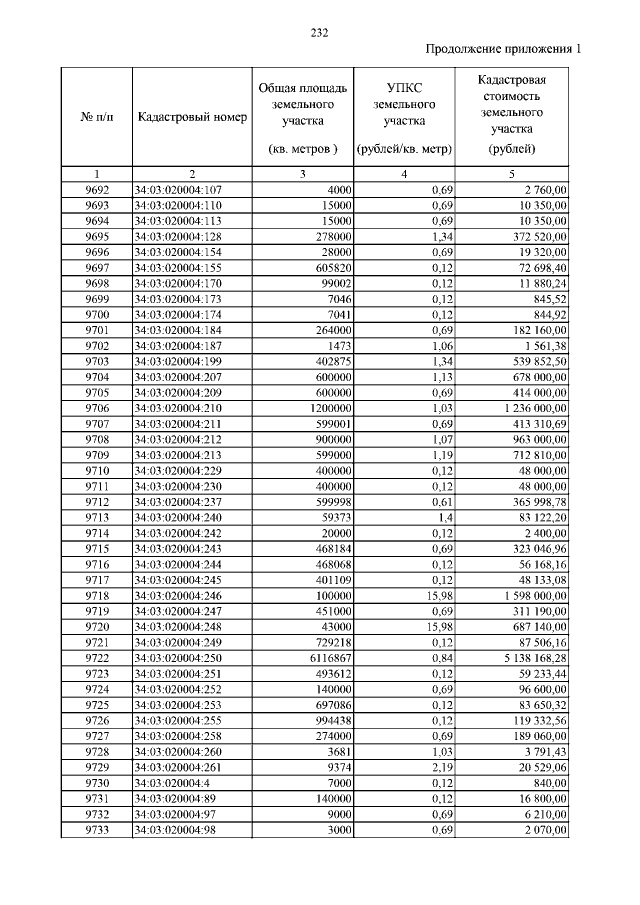
Приказ комитета по управлению государственным имуществом Волгоградской области от 30.10.2020 № 78-н
"Об утверждении результатов государственной кадастровой оценки земельных участков категории "Земли сельскохозяйственного назначения" на территории Волгоградской области"
Номер опубликования: 3401202011060010
Дата опубликования: 06.11.2020
Страница №234 из 4214:
Увеличить