Официальное опубликование правовых актов
ОФИЦИАЛЬНОЕ ОПУБЛИКОВАНИЕ
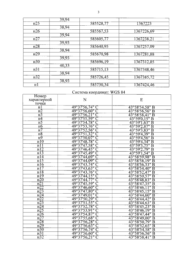
Приказ комитета государственной охраны объектов культурного наследия Волгоградской области от 03.11.2020 № 282
"Об утверждении описания местоположения границ защитных зон объектов культурного наследия, расположенных на территории Фроловского района Волгоградской области, режима использования земель в границах данных защитных зон"
Номер опубликования: 3401202011050006
Дата опубликования: 05.11.2020
Страница №7 из 32:
Увеличить