Официальное опубликование правовых актов
ОФИЦИАЛЬНОЕ ОПУБЛИКОВАНИЕ
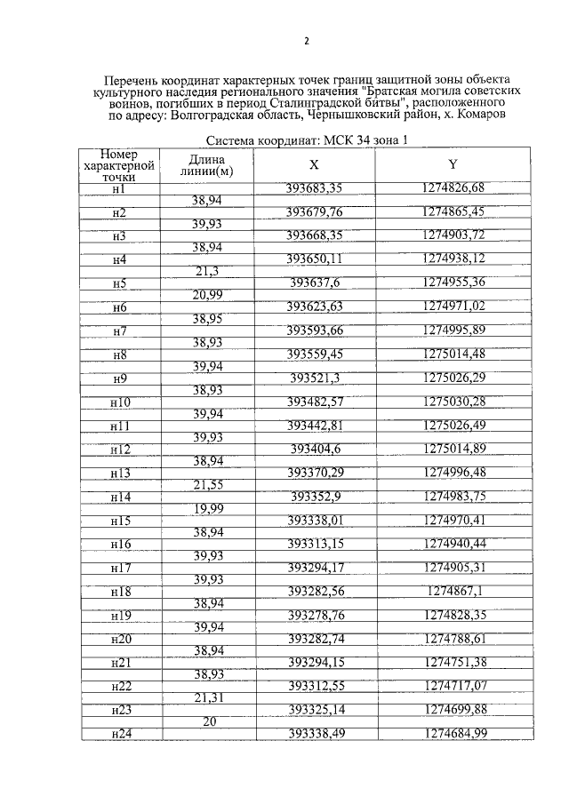
Приказ комитета государственной охраны объектов культурного наследия Волгоградской области от 08.10.2020 № 263
"Об утверждении описания местоположения границ защитных зон объектов культурного наследия, расположенных на территории Чернышковского района Волгоградской области, режима использования земель в границах данных защитных зон"
Номер опубликования: 3401202010090022
Дата опубликования: 09.10.2020
Страница №24 из 53:
Увеличить