Официальное опубликование правовых актов
ОФИЦИАЛЬНОЕ ОПУБЛИКОВАНИЕ
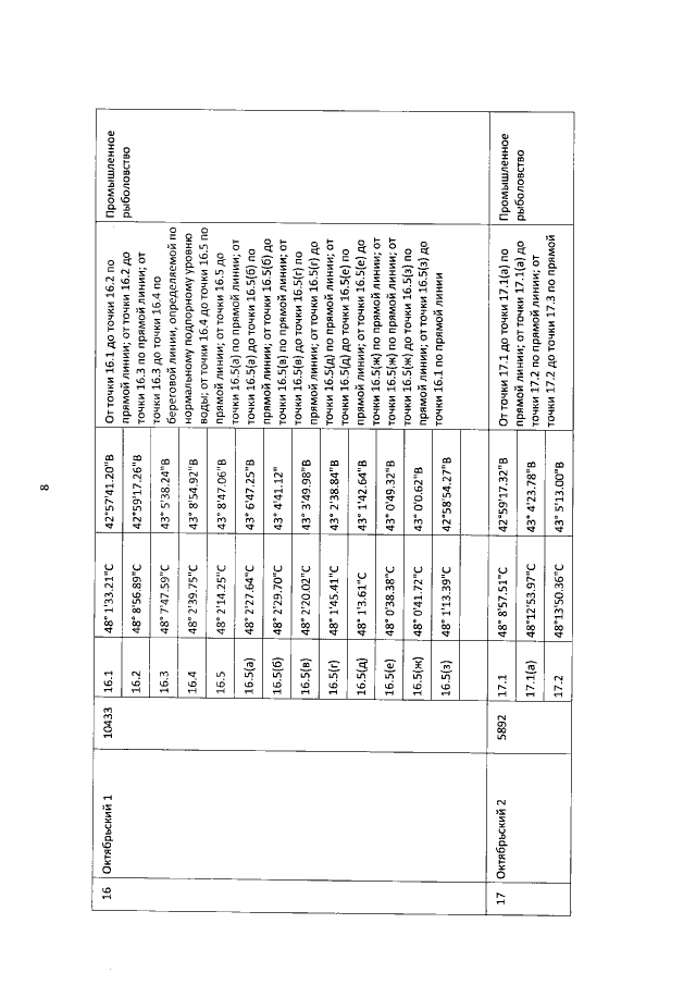
Приказ комитета сельского хозяйства Волгоградской области от 20.07.2020 № 216
"О внесении изменений в приказ комитета охотничьего хозяйства и рыболовства Волгоградской области от 19 июня 2013 г. № 242 "Об утверждении перечня рыболовных участков Волгоградской области"
Номер опубликования: 3401202007240005
Дата опубликования: 24.07.2020
Страница №17 из 59:
Увеличить