Официальное опубликование правовых актов
ОФИЦИАЛЬНОЕ ОПУБЛИКОВАНИЕ
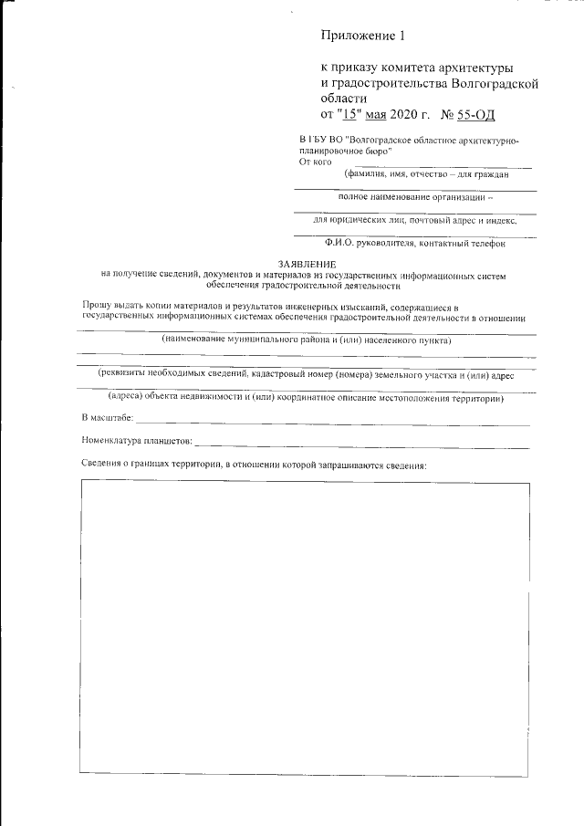
Приказ комитета архитектуры и градостроительства Волгоградской области от 15.05.2020 № 55-ОД
"О внесении изменений в приказ комитета архитектуры и градостроительства Волгоградской области от 30.12.2019 № 168-ОД "Об утверждении административного регламента предоставления комитетом архитектуры и градостроительства Волгоградской области государственной услуги "Предоставление сведений, документов и материалов в отношении содержащихся в государственных информационных системах обеспечения градостроительной деятельности материалов и результатов инженерных изысканий (за исключением городского округа город-герой Волгоград и городского округа город Волжский)"
Номер опубликования: 3401202005180005
Дата опубликования: 18.05.2020
Страница №6 из 8:
Увеличить