Официальное опубликование правовых актов
ОФИЦИАЛЬНОЕ ОПУБЛИКОВАНИЕ
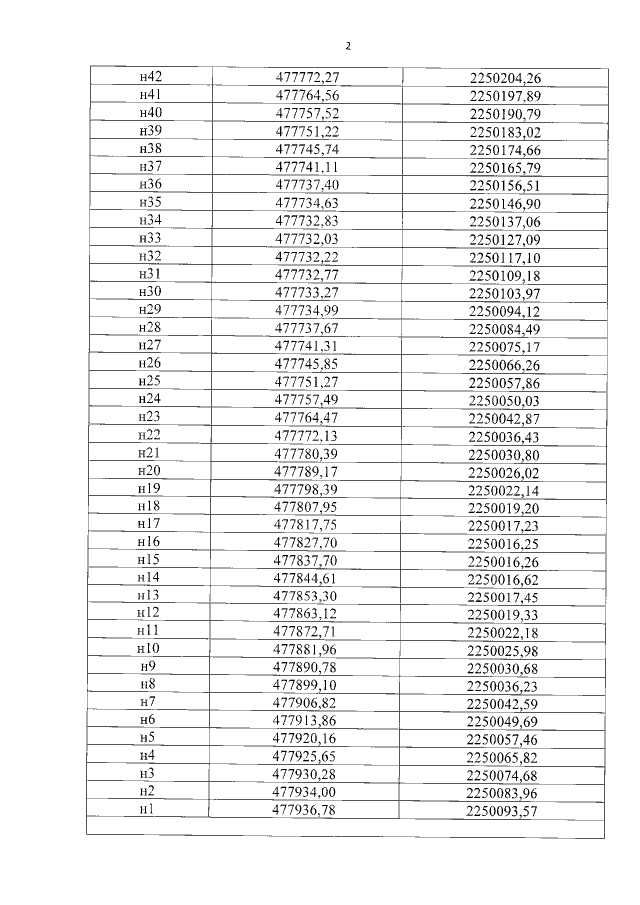
Приказ комитета государственной охраны объектов культурного наследия Волгоградской области от 12.05.2020 № 94
"Об утверждении описания местоположения границ защитной зоны объекта культурного наследия регионального значения "Братская могила участников гражданской войны и советских воинов, погибших в период Сталинградской битвы", расположенного по адресу: Волгоградская область, Ленинский район, с. Царев, режима использования земель в границах данной защитной зоны"
Номер опубликования: 3401202005130003
Дата опубликования: 13.05.2020
Страница №4 из 7:
Увеличить