Официальное опубликование правовых актов
ОФИЦИАЛЬНОЕ ОПУБЛИКОВАНИЕ
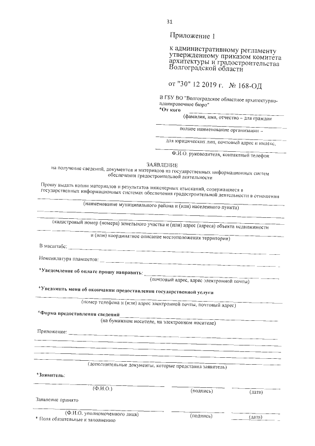
Приказ комитета архитектуры и градостроительства Волгоградской области от 30.12.2019 № 168-ОД
"Об утверждении административного регламента предоставления комитетом архитектуры и градостроительства Волгоградской области государственной услуги "Предоставление сведений, документов и материалов в отношении содержащихся в государственных информационных системах обеспечения градостроительной деятельности материалов и результатов инженерных изысканий (за исключением городского округа город-герой Волгоград и городского округа город Волжский)"
Номер опубликования: 3401201912300097
Дата опубликования: 30.12.2019
Страница №33 из 34:
Увеличить