Официальное опубликование правовых актов
ОФИЦИАЛЬНОЕ ОПУБЛИКОВАНИЕ
Приказ комитета природных ресурсов, лесного хозяйства и экологии Волгоградской области от 07.05.2019 № 1344
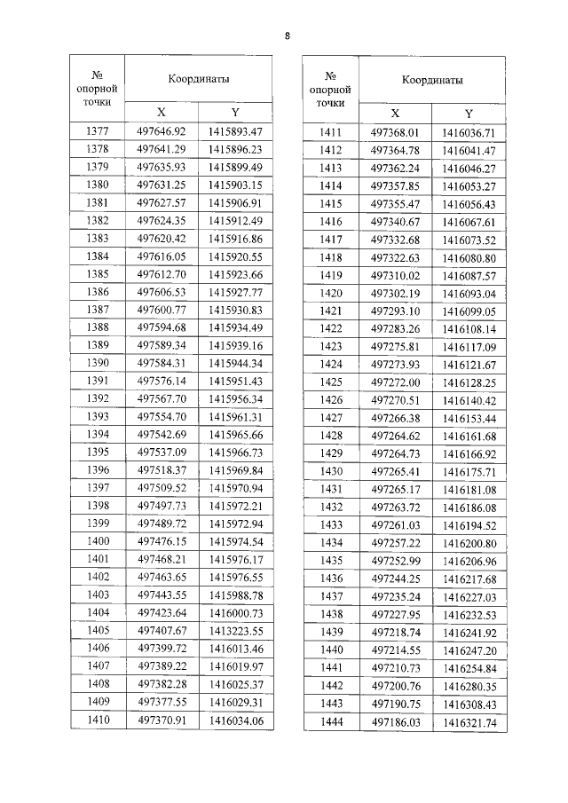
"О внесении изменения в приказ комитета природных ресурсов, лесного хозяйства и экологии Волгоградской области от 28 января 2019 г. № 240 "Об установлении местоположения береговой линии (границы водного объекта), границ водоохранных зон и прибрежных защитных полос р. Сухая Мечетка"
Номер опубликования: 3401201905080006
Дата опубликования: 08.05.2019
Страница №9 из 15:
Увеличить