Официальное опубликование правовых актов
ОФИЦИАЛЬНОЕ ОПУБЛИКОВАНИЕ
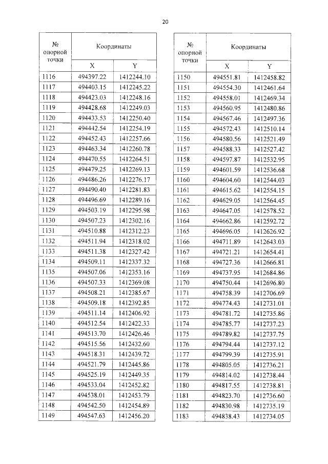
Приказ комитета природных ресурсов, лесного хозяйства и экологии Волгоградской области от 28.01.2019 № 239
"Об установлении местоположения береговой линии (границы водного объекта), границ водоохранных зон и прибрежных защитных полос р. Мокрая Мечетка"
Номер опубликования: 3401201902060002
Дата опубликования: 06.02.2019
Страница №20 из 184:
Увеличить