Официальное опубликование правовых актов
ОФИЦИАЛЬНОЕ ОПУБЛИКОВАНИЕ
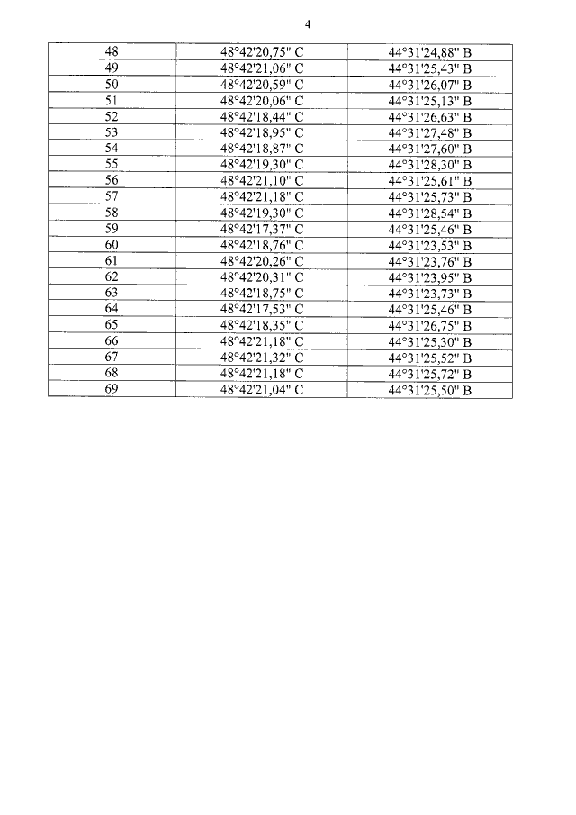
Приказ комитета государственной охраны объектов культурного наследия Волгоградской области от 19.12.2018 № 283
"Об установлении зон охраны объекта культурного наследия регионального значения "Ансамбль Набережной р. Волги", расположенного по адресу: г. Волгоград, наб. 62-й Армии, утверждении требований к градостроительным регламентам в границах территорий данных зон"
Номер опубликования: 3401201812240049
Дата опубликования: 24.12.2018
Страница №13 из 15:
Увеличить