Официальное опубликование правовых актов
ОФИЦИАЛЬНОЕ ОПУБЛИКОВАНИЕ
Приказ комитета тарифного регулирования Волгоградской области от 19.12.2018 № 46/56
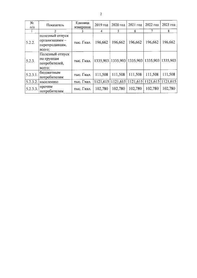
"Об установлении долгосрочных параметров регулирования и тарифов на тепловую энергию (мощность), услуги по передаче тепловой энергии ООО "Волжские тепловые сети" на 2019 -2023 годы"
Номер опубликования: 3401201812240013
Дата опубликования: 24.12.2018
Страница №7 из 8:
Увеличить