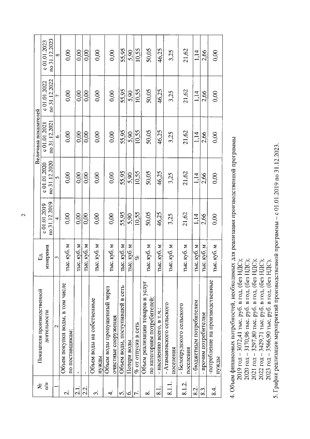
Приказ комитета тарифного регулирования Волгоградской области от 22.11.2018 № 39/8
"Об установлении тарифов на питьевую воду (питьевое водоснабжение) и техническую воду для потребителей муниципального казенного учреждения Даниловского муниципального района "Хозяйственно-эксплуатационная служба" Даниловского муниципального района Волгоградской области"
"Об установлении тарифов на питьевую воду (питьевое водоснабжение) и техническую воду для потребителей муниципального казенного учреждения Даниловского муниципального района "Хозяйственно-эксплуатационная служба" Даниловского муниципального района Волгоградской области"
Номер опубликования: 3401201811270056
Дата опубликования:
27.11.2018
