Официальное опубликование правовых актов
ОФИЦИАЛЬНОЕ ОПУБЛИКОВАНИЕ
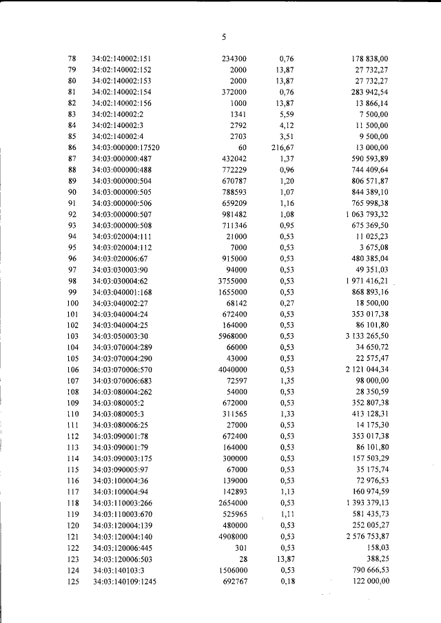
Приказ комитета по управлению государственным имуществом Волгоградской области от 21.11.2018 № 97-н
"Об утверждении результатов государственной кадастровой оценки земель водного фонда на территории Волгоградской области"
Номер опубликования: 3401201811220003
Дата опубликования: 22.11.2018
Страница №5 из 17:
Увеличить