Официальное опубликование правовых актов
ОФИЦИАЛЬНОЕ ОПУБЛИКОВАНИЕ
Приказ комитета социальной защиты населения Волгоградской области от 08.10.2018 № 1681
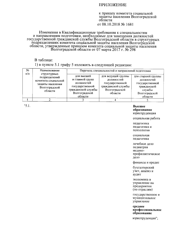
"О внесении изменений в приказ комитета социальной защиты населения Волгоградской области от 07 марта 2017 г. № 298 "Об утверждении квалификационных требований к специальностям и направлениям подготовки, необходимых для замещения должностей государственной гражданской службы Волгоградской области в структурных подразделениях комитета социальной защиты населения Волгоградской области"
Номер опубликования: 3401201810090004
Дата опубликования: 09.10.2018
Страница №2 из 4:
Увеличить