Официальное опубликование правовых актов
ОФИЦИАЛЬНОЕ ОПУБЛИКОВАНИЕ
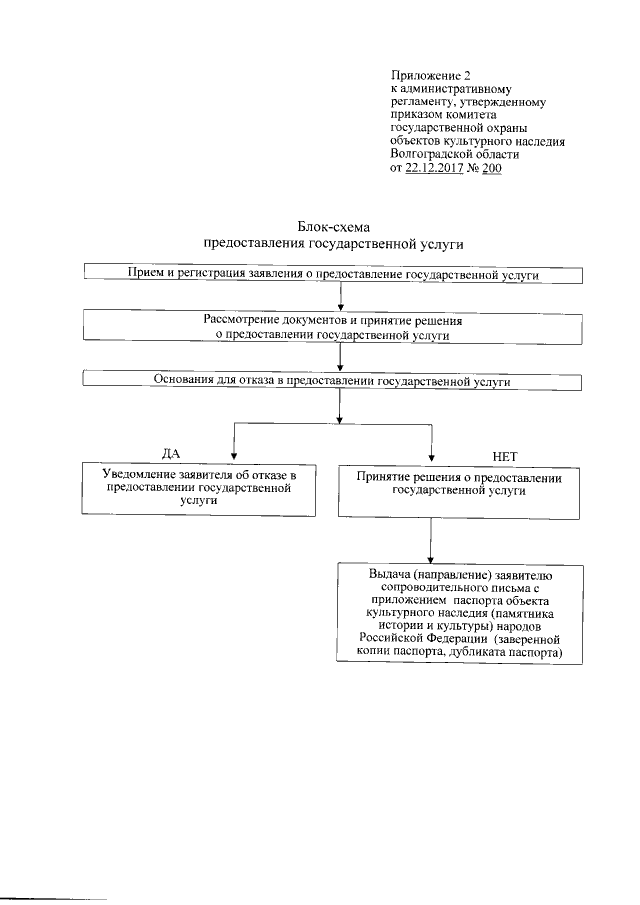
Приказ комитета государственной охраны объектов культурного наследия Волгоградской области от 22.12.2017 № 200
"Об утверждении административного регламента предоставления комитетом государственной охраны объектов культурного наследия Волгоградской области государственной услуги по выдаче паспорта объекта культурного наследия (памятника истории и культуры) народов Российской Федерации собственнику или иному законному владельцу данного объекта, земельного участка в границах территории объекта культурного наследия, включенного в единый государственный реестр объектов культурного наследия (памятников истории и культуры) народов Российской Федерации, либо земельного участка, в границах которого располагается объект археологического наследия"
Номер опубликования: 3401201712280008
Дата опубликования: 28.12.2017
Страница №22 из 22:
Увеличить