Официальное опубликование правовых актов
ОФИЦИАЛЬНОЕ ОПУБЛИКОВАНИЕ
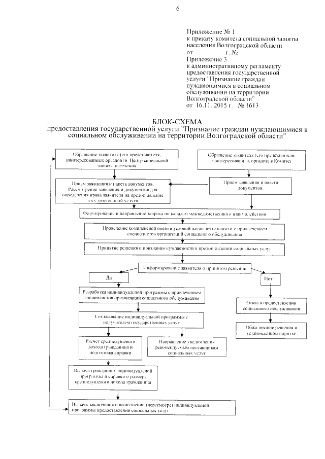
Приказ комитета социальной защиты населения Волгоградской области от 14.11.2017 № 1836
"О внесении изменений в приказ комитета социальной защиты населения Волгоградской области от 16 ноября 2015 г. № 1613 "Об утверждении административного регламента предоставления государственной услуги "Признание граждан нуждающимися в социальном обслуживании на территории Волгоградской области"
Номер опубликования: 3401201711150003
Дата опубликования: 15.11.2017
Страница №6 из 48:
Увеличить