Официальное опубликование правовых актов
ОФИЦИАЛЬНОЕ ОПУБЛИКОВАНИЕ
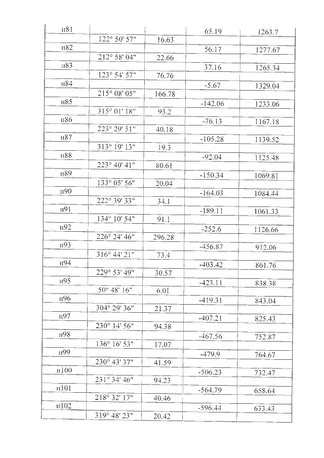
Приказ комитета государственной охраны объектов культурного наследия Волгоградской области от 14.08.2017 № 114
"Об установлении границ и режима использования территории объекта культурного наследия регионального значения "Комплекс застройки ул. Советской", 1950-е гг., расположенного по адресу: г. Волгоград, Центральный район, ул. Советская, 1 - 47"
Номер опубликования: 3401201708180015
Дата опубликования: 18.08.2017
Страница №19 из 26:
Увеличить