Официальное опубликование правовых актов
ОФИЦИАЛЬНОЕ ОПУБЛИКОВАНИЕ
Постановление Губернатора Волгоградской области от 20.03.2026 № 131
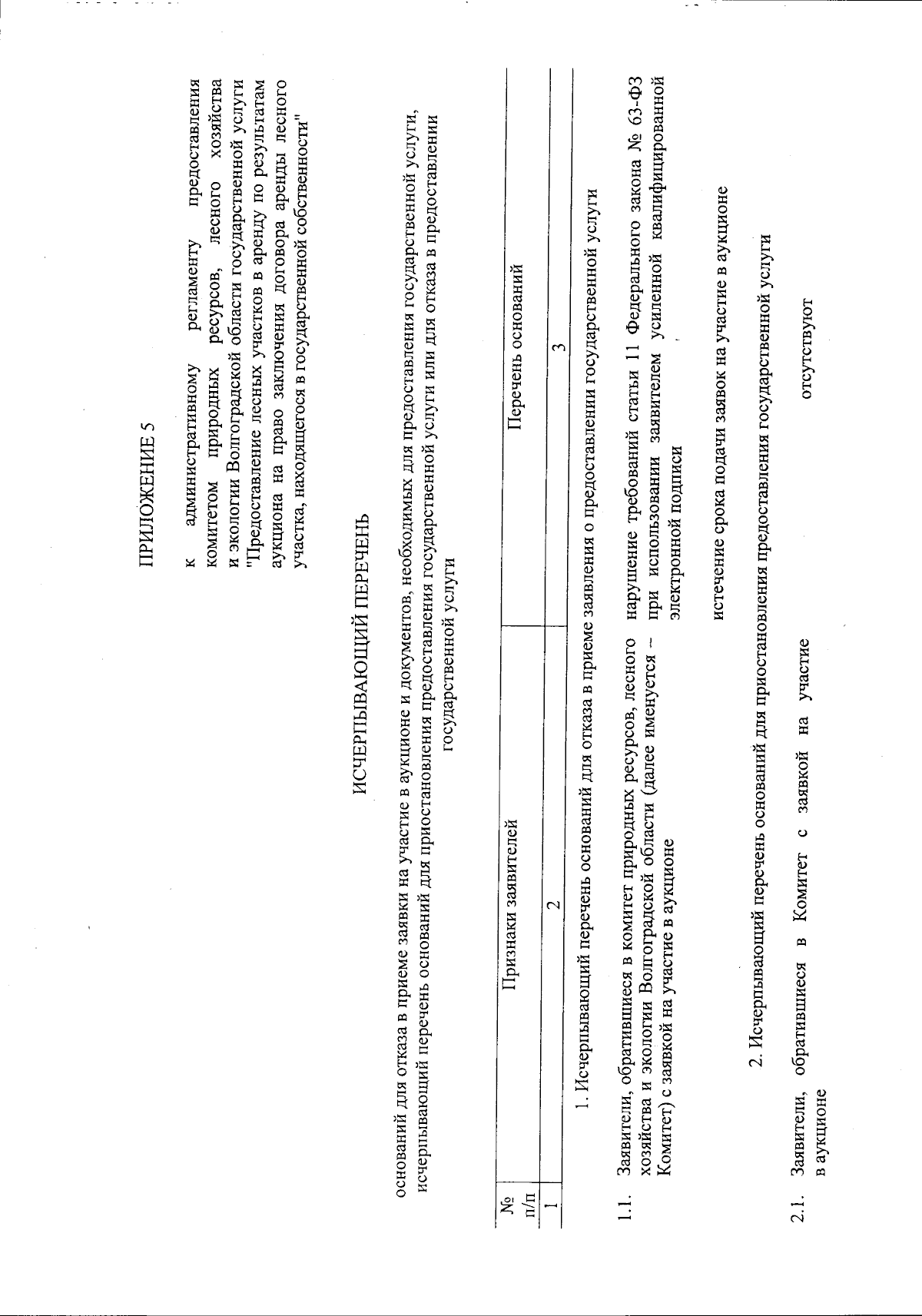
"Об утверждении административного регламента предоставления комитетом природных ресурсов, лесного хозяйства и экологии Волгоградской области государственной услуги "Предоставление лесных участков в аренду по результатам аукциона на право заключения договора аренды лесного участка, находящегося в государственной собственности"
Номер опубликования: 3400202603230003
Дата опубликования: 23.03.2026
Страница №22 из 27:
Увеличить