Официальное опубликование правовых актов
ОФИЦИАЛЬНОЕ ОПУБЛИКОВАНИЕ
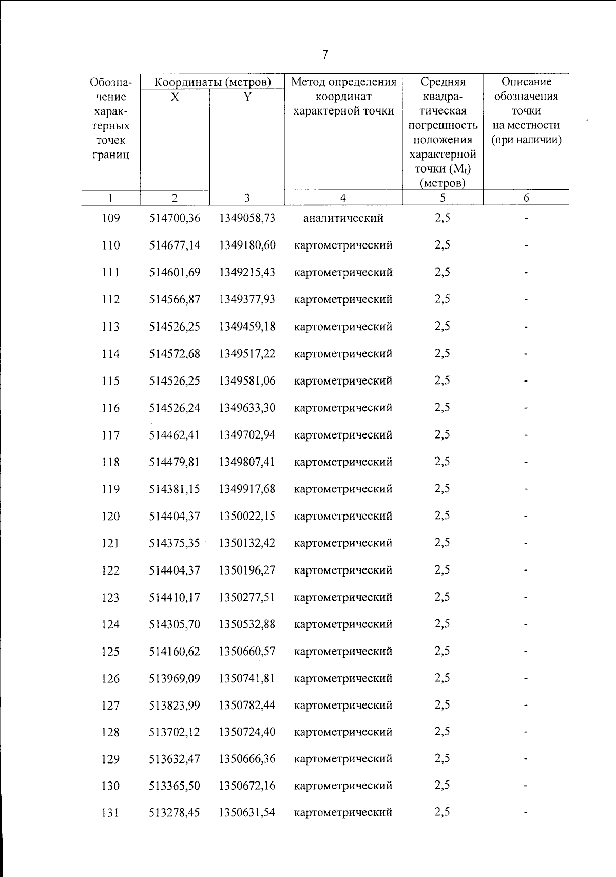
Постановление Губернатора Волгоградской области от 16.05.2025 № 260
"О создании охранной зоны природного парка "Донской"
Номер опубликования: 3400202505190002
Дата опубликования: 19.05.2025
Страница №8 из 30:
Увеличить