Официальное опубликование правовых актов
ОФИЦИАЛЬНОЕ ОПУБЛИКОВАНИЕ
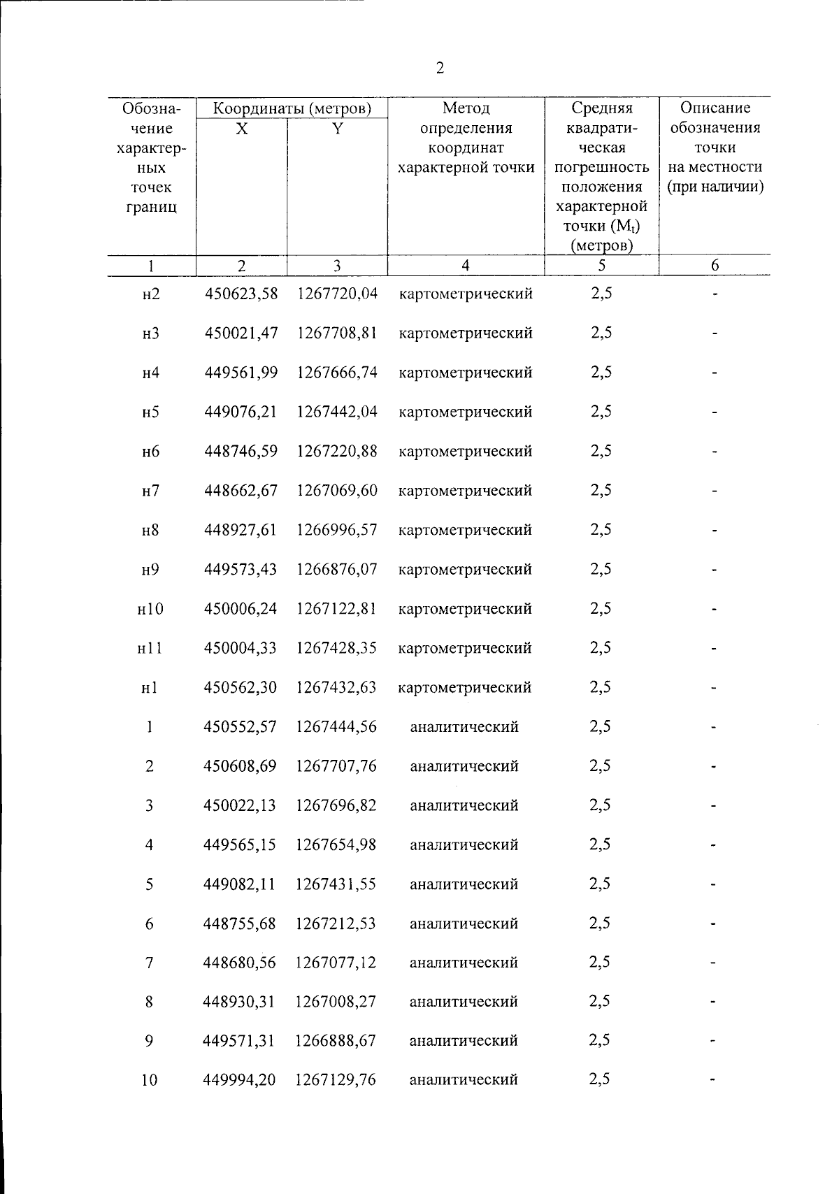
Постановление Губернатора Волгоградской области от 28.08.2024 № 489
"О создании охранной зоны памятника природы регионального значения "Тюльпанный луг" в границах Чернышковского муниципального района Волгоградской области"
Номер опубликования: 3400202408290006
Дата опубликования: 29.08.2024
Страница №3 из 9:
Увеличить