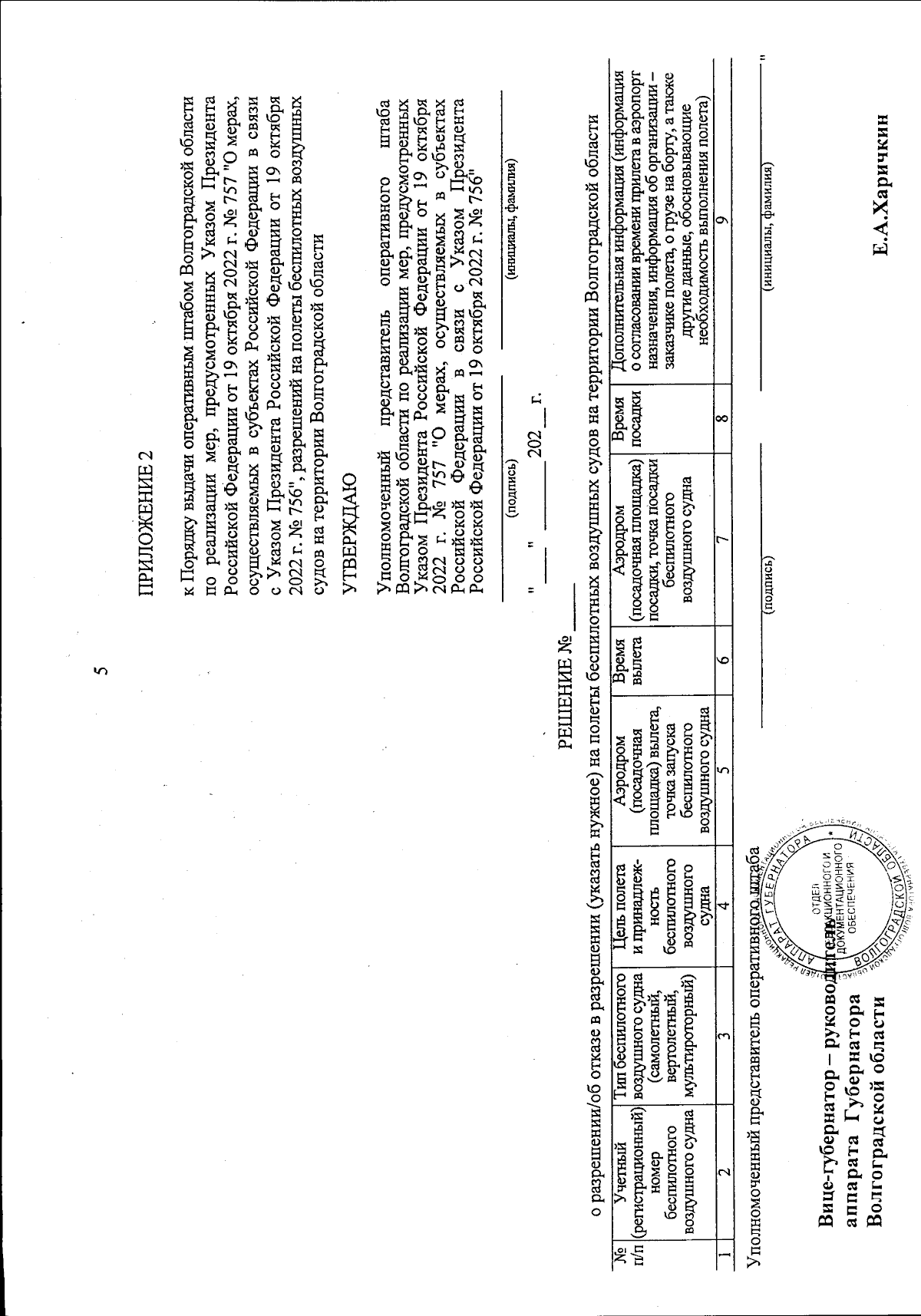
Постановление Губернатора Волгоградской области от 08.05.2024 № 250
"О внесении изменений в постановление Губернатора Волгоградской области от 28 декабря 2022 г. № 799 "О реализации Указа Президента Российской Федерации от 19 октября 2022 г. № 757 "О мерах, осуществляемых в субъектах Российской Федерации в связи с Указом Президента Российской Федерации от 19 октября 2022 г. № 756"
"О внесении изменений в постановление Губернатора Волгоградской области от 28 декабря 2022 г. № 799 "О реализации Указа Президента Российской Федерации от 19 октября 2022 г. № 757 "О мерах, осуществляемых в субъектах Российской Федерации в связи с Указом Президента Российской Федерации от 19 октября 2022 г. № 756"
Номер опубликования: 3400202405080005
Дата опубликования:
08.05.2024
