Постановление Администрации Волгоградской области от 08.02.2024 № 53-п
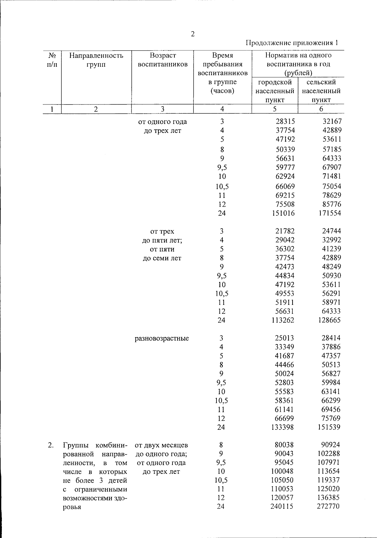
"О внесении изменений в постановление Правительства Волгоградской области от 21 мая 2014 г. № 265-п "О мерах по реализации Закона Волгоградской области от 10 января 2014 г. № 13-ОД "О методиках расчета субвенций, предоставляемых из областного бюджета бюджетам муниципальных образований для обеспечения государственных гарантий реализации прав на получение общедоступного и бесплатного дошкольного образования в муниципальных дошкольных образовательных организациях, общедоступного и бесплатного дошкольного, начального общего, основного общего, среднего общего образования в муниципальных общеобразовательных организациях, обеспечение дополнительного образования детей в муниципальных общеобразовательных организациях"
"О внесении изменений в постановление Правительства Волгоградской области от 21 мая 2014 г. № 265-п "О мерах по реализации Закона Волгоградской области от 10 января 2014 г. № 13-ОД "О методиках расчета субвенций, предоставляемых из областного бюджета бюджетам муниципальных образований для обеспечения государственных гарантий реализации прав на получение общедоступного и бесплатного дошкольного образования в муниципальных дошкольных образовательных организациях, общедоступного и бесплатного дошкольного, начального общего, основного общего, среднего общего образования в муниципальных общеобразовательных организациях, обеспечение дополнительного образования детей в муниципальных общеобразовательных организациях"
Номер опубликования: 3400202402120003
Дата опубликования:
12.02.2024
