Официальное опубликование правовых актов
ОФИЦИАЛЬНОЕ ОПУБЛИКОВАНИЕ
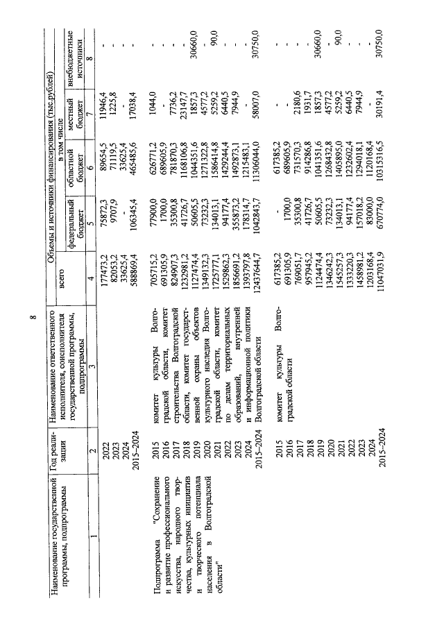
Постановление Администрации Волгоградской области от 14.10.2021 № 576-п
"О внесении изменений в постановление Администрации Волгоградской области от 08 мая 2015 г. № 217-п "Об утверждении государственной программы Волгоградской области "Развитие культуры в Волгоградской области"
Номер опубликования: 3400202110180001
Дата опубликования: 18.10.2021
Страница №9 из 15:
Увеличить