Официальное опубликование правовых актов
ОФИЦИАЛЬНОЕ ОПУБЛИКОВАНИЕ
Постановление Администрации Волгоградской области от 01.04.2021 № 144-п
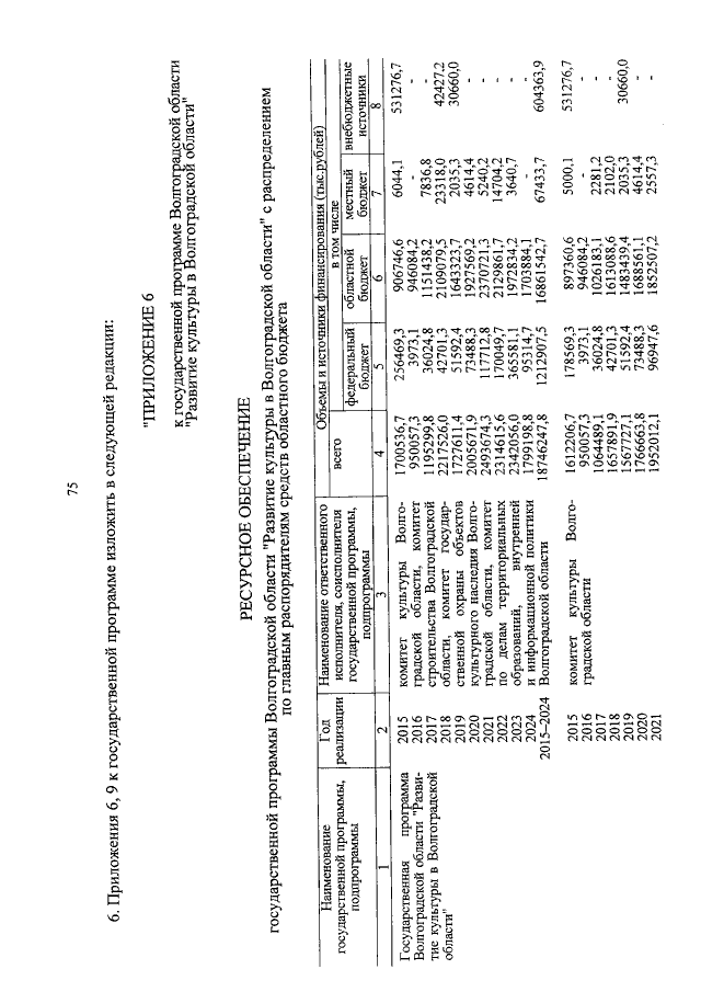
"О внесении изменений в постановление Администрации Волгоградской области от 08 мая 2015 г. № 217-п "Об утверждении государственной программы Волгоградской области "Развитие культуры в Волгоградской области"
Номер опубликования: 3400202104050002
Дата опубликования: 05.04.2021
Страница №76 из 87:
Увеличить