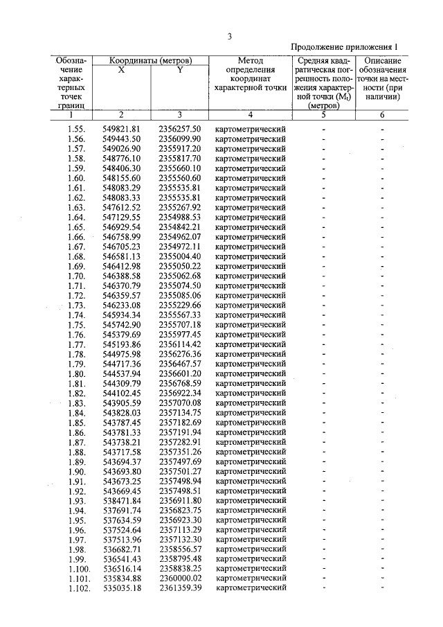
Постановление Администрации Волгоградской области от 14.12.2020 № 783-п
"О внесении изменений в постановление Администрации Волгоградской области от 23 октября 2015 г. № 631-п "Об утверждении Положения о природном парке "Эльтонский"
"О внесении изменений в постановление Администрации Волгоградской области от 23 октября 2015 г. № 631-п "Об утверждении Положения о природном парке "Эльтонский"
Номер опубликования: 3400202012170016
Дата опубликования:
17.12.2020
