Официальное опубликование правовых актов
ОФИЦИАЛЬНОЕ ОПУБЛИКОВАНИЕ
Постановление Губернатора Волгоградской области от 09.04.2020 № 253
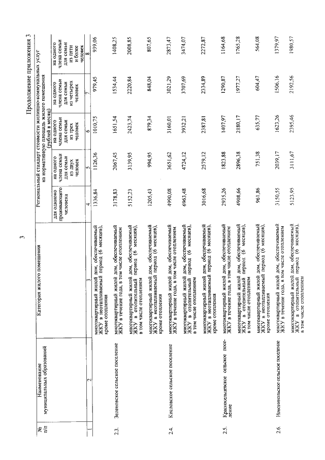
"О региональных стандартах стоимости жилищно-коммунальных услуг, используемых при расчете субсидий, предоставляемых гражданам на оплату жилого помещения и коммунальных услуг"
Номер опубликования: 3400202004130006
Дата опубликования: 13.04.2020
Страница №190 из 233:
Увеличить