Официальное опубликование правовых актов
ОФИЦИАЛЬНОЕ ОПУБЛИКОВАНИЕ
Постановление Губернатора Волгоградской области от 19.01.2017 № 30
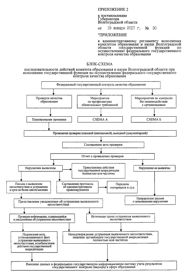
"О внесении изменений в постановление Губернатора Волгоградской области от 28 марта 2013 г. № 275 "Об утверждении административных регламентов исполнения комитетом образования и науки Волгоградской области государственных функций по осуществлению федерального государственного надзора в сфере образования и федерального государственного контроля качества образования"
Номер опубликования: 3400201701230002
Дата опубликования: 23.01.2017
Страница №22 из 23:
Увеличить