Официальное опубликование правовых актов
ОФИЦИАЛЬНОЕ ОПУБЛИКОВАНИЕ
Постановление Губернатора Волгоградской области от 02.09.2016 № 652
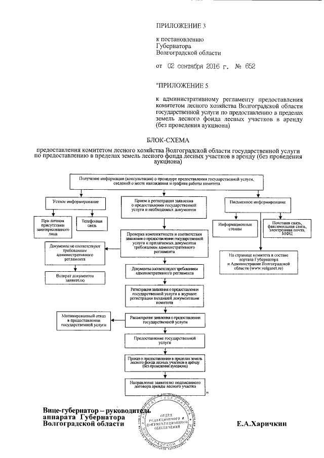
"О внесении изменений в постановление Губернатора Волгоградской области от 25 июня 2013 г. № 620 "Об утверждении административного регламента предоставления комитетом лесного хозяйства Волгоградской области государственной услуги по предоставлению в пределах земель лесного фонда лесных участков в аренду (без проведения аукциона)"
Номер опубликования: 3400201609050010
Дата опубликования: 05.09.2016
Страница №15 из 24:
Увеличить