Официальное опубликование правовых актов
ОФИЦИАЛЬНОЕ ОПУБЛИКОВАНИЕ
Постановление Администрации Волгоградской области от 22.08.2016 № 460-п
"Об утверждении положений о памятниках природы регионального значения"
Номер опубликования: 3400201608250030
Дата опубликования: 25.08.2016
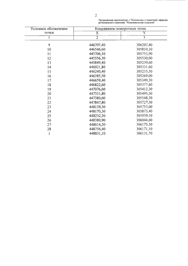
Страница №55 из 121:
Увеличить