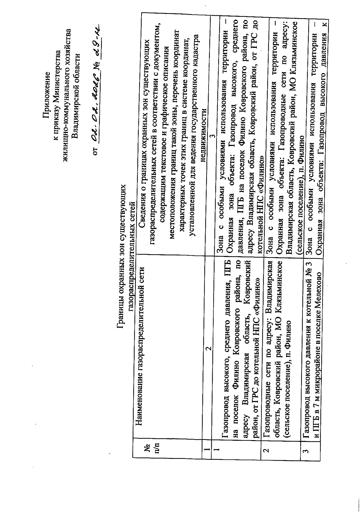
Приказ Министерства жилищно-коммунального хозяйства Владимирской области от 02.02.2026 № 29-н
"Об утверждении границ охранных зон газораспределительных сетей"
(Зарегистрирован 02.02.2026 № МЖКХ2026-029)
"Об утверждении границ охранных зон газораспределительных сетей"
(Зарегистрирован 02.02.2026 № МЖКХ2026-029)
Номер опубликования: 3301202602050010
Дата опубликования:
05.02.2026
