Официальное опубликование правовых актов
ОФИЦИАЛЬНОЕ ОПУБЛИКОВАНИЕ
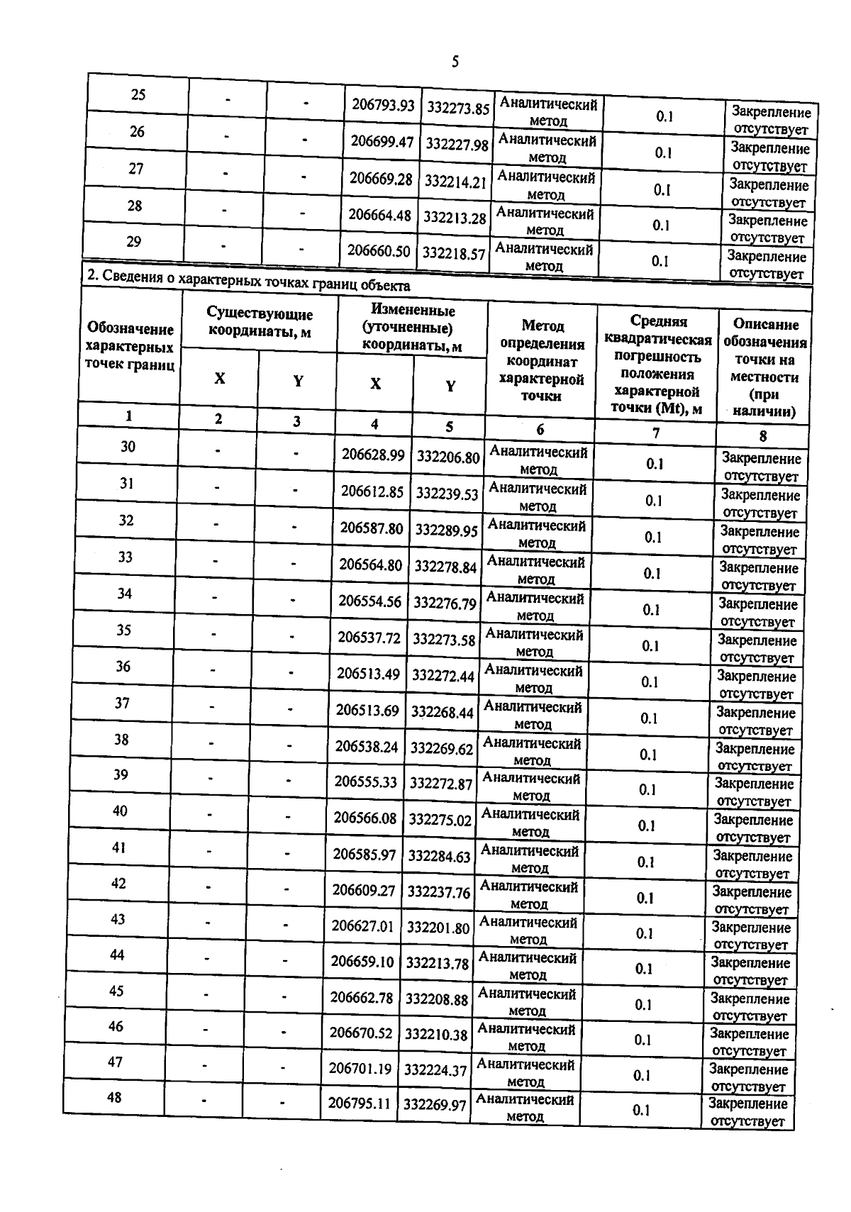
Приказ Министерства жилищно-коммунального хозяйства Владимирской области от 02.02.2026 № 26-н
"Об изменении границы охранной зоны газораспределительной сети"
(Зарегистрирован 02.02.2026 № МЖКХ2026-026)
Номер опубликования: 3301202602050006
Дата опубликования: 05.02.2026
Страница №6 из 7:
Увеличить