Официальное опубликование правовых актов
ОФИЦИАЛЬНОЕ ОПУБЛИКОВАНИЕ
Приказ Министерства природопользования и экологии Владимирской области от 27.01.2026 № 6-н
"Об установлении зон санитарной охраны источников питьевого и хозяйственно-бытового водоснабжения ООО "СК"
(Зарегистрирован 27.01.2026 № МПЭ2026-006)
Номер опубликования: 3301202601270002
Дата опубликования: 27.01.2026
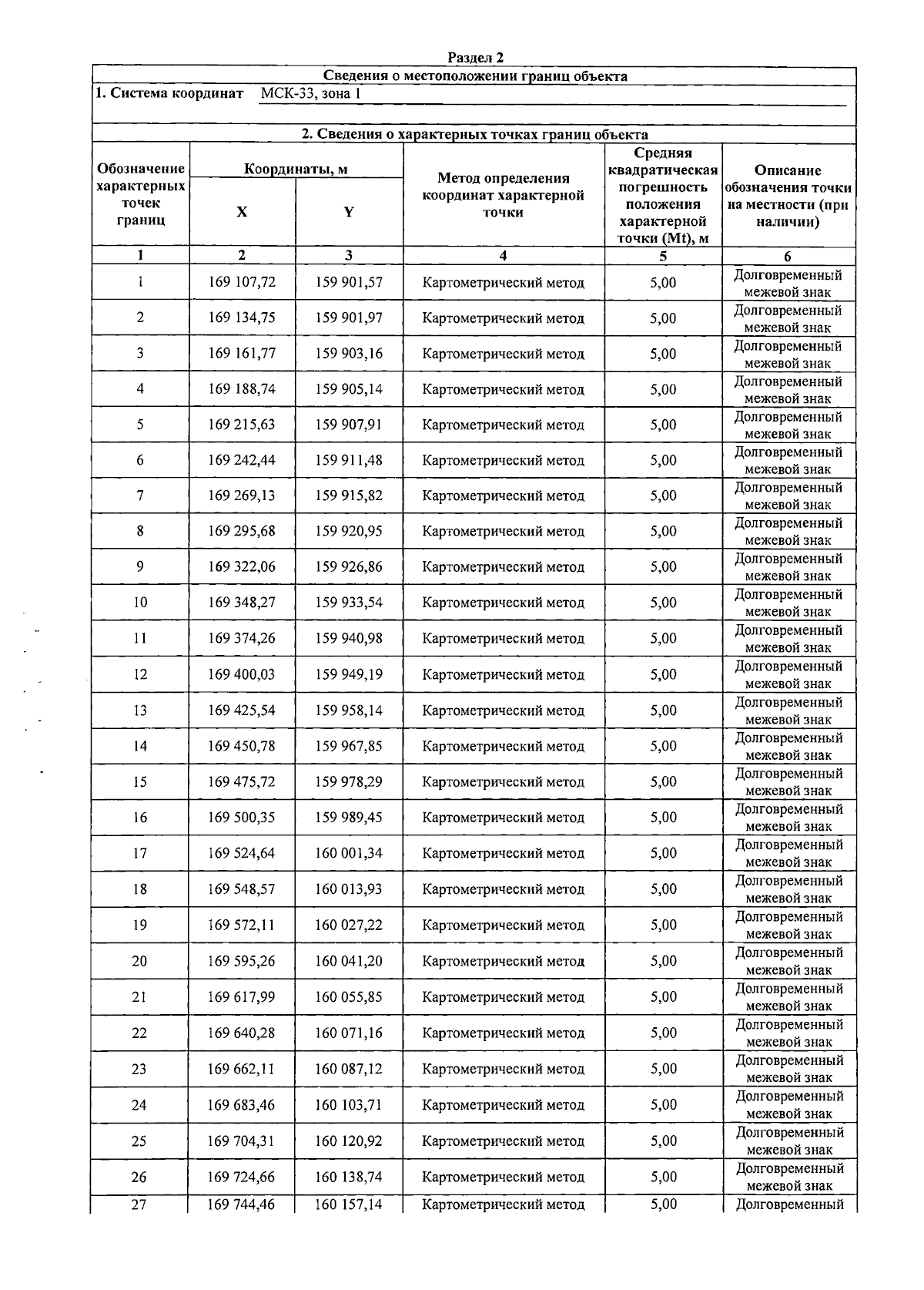
Страница №13 из 22:
Увеличить