Официальное опубликование правовых актов
ОФИЦИАЛЬНОЕ ОПУБЛИКОВАНИЕ
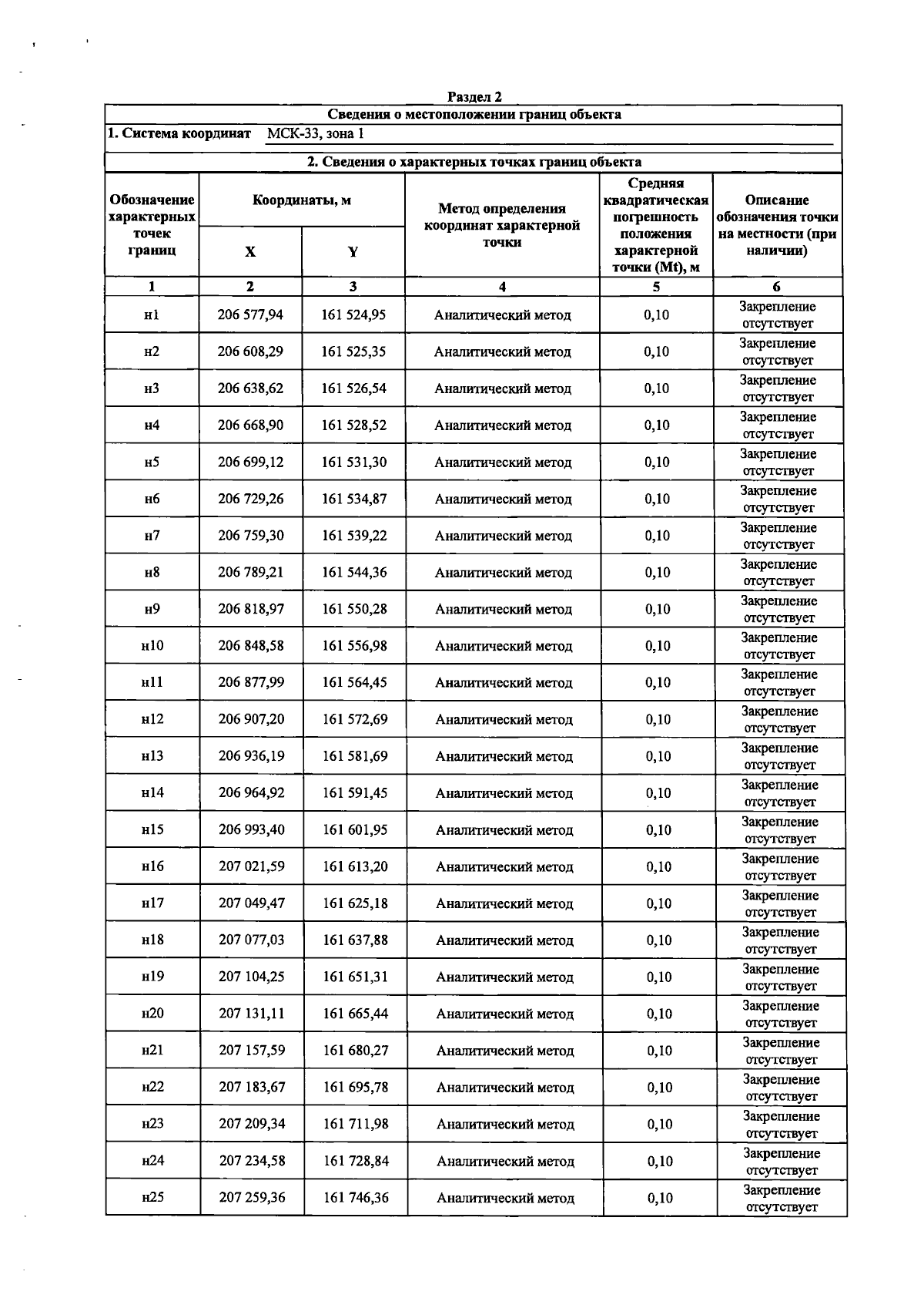
Приказ Министерства природопользования и экологии Владимирской области от 26.12.2025 № 88-н
"Об установлении зон санитарной охраны источников хозяйственно-питьевого и технологического водоснабжения МУП г. Кольчугино "Коммунальник"
(Зарегистрирован 26.12.2025 № МПЭ2025-088)
Номер опубликования: 3301202512260006
Дата опубликования: 26.12.2025
Страница №17 из 53:
Увеличить