Официальное опубликование правовых актов
ОФИЦИАЛЬНОЕ ОПУБЛИКОВАНИЕ
Приказ Министерства жилищно-коммунального хозяйства Владимирской области от 27.11.2025 № 92-н
"О внесении изменений в постановление департамента жилищно-коммунального хозяйства администрации Владимирской области от 30.11.2017 № 15 и признании утратившими силу отдельных нормативно-правовых актов Министерства жилищно-коммунального хозяйства Владимирской области"
(Зарегистрирован 27.11.2025 № МЖКХ2025-092)
Номер опубликования: 3301202512050023
Дата опубликования: 05.12.2025
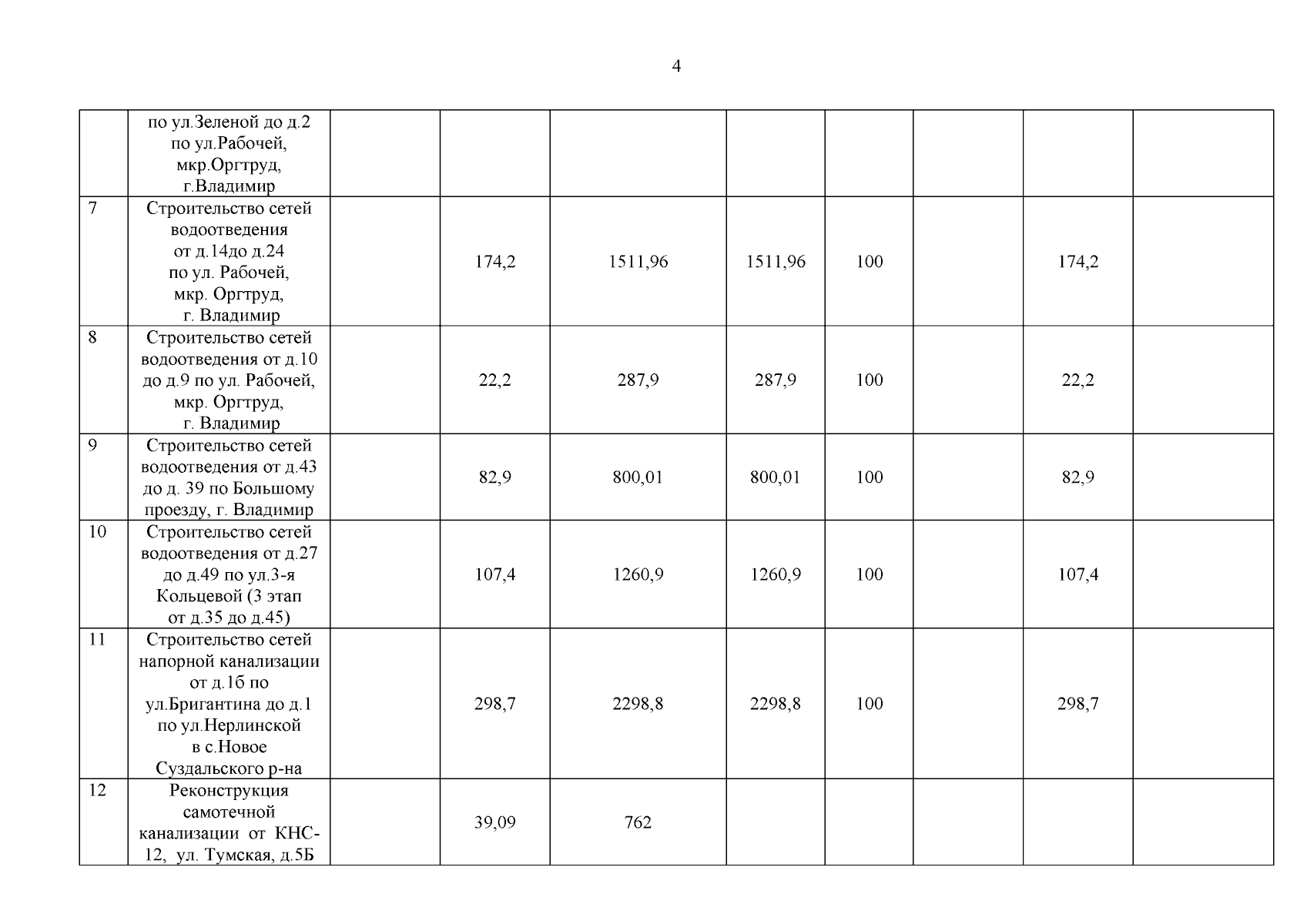
Страница №142 из 144:
Увеличить