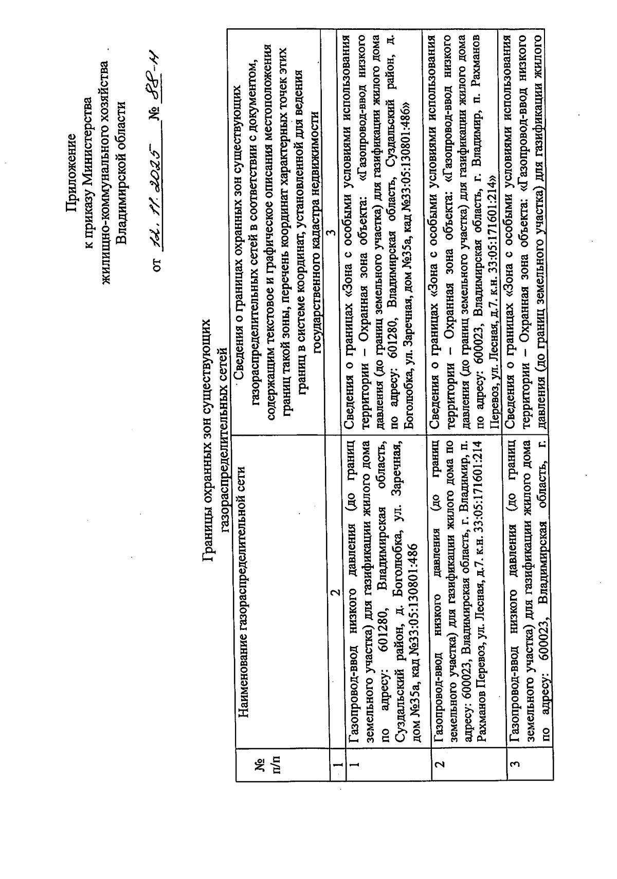
Приказ Министерства жилищно-коммунального хозяйства Владимирской области от 12.11.2025 № 88-н
"Об утверждении границ охранных зон газораспределительных сетей"
(Зарегистрирован 12.11.2025 № МЖКХ2025-088)
"Об утверждении границ охранных зон газораспределительных сетей"
(Зарегистрирован 12.11.2025 № МЖКХ2025-088)
Номер опубликования: 3301202511180009
Дата опубликования:
18.11.2025
