Официальное опубликование правовых актов
ОФИЦИАЛЬНОЕ ОПУБЛИКОВАНИЕ
Приказ Министерства жилищно-коммунального хозяйства Владимирской области от 09.09.2025 № 77-н
"О внесении изменения в постановление Департамента жилищно-коммунального хозяйства Владимирской области от 06.07.2022 №10"
(Зарегистрирован 09.09.2025 № МЖКХ2025-077)
Номер опубликования: 3301202509100002
Дата опубликования: 10.09.2025
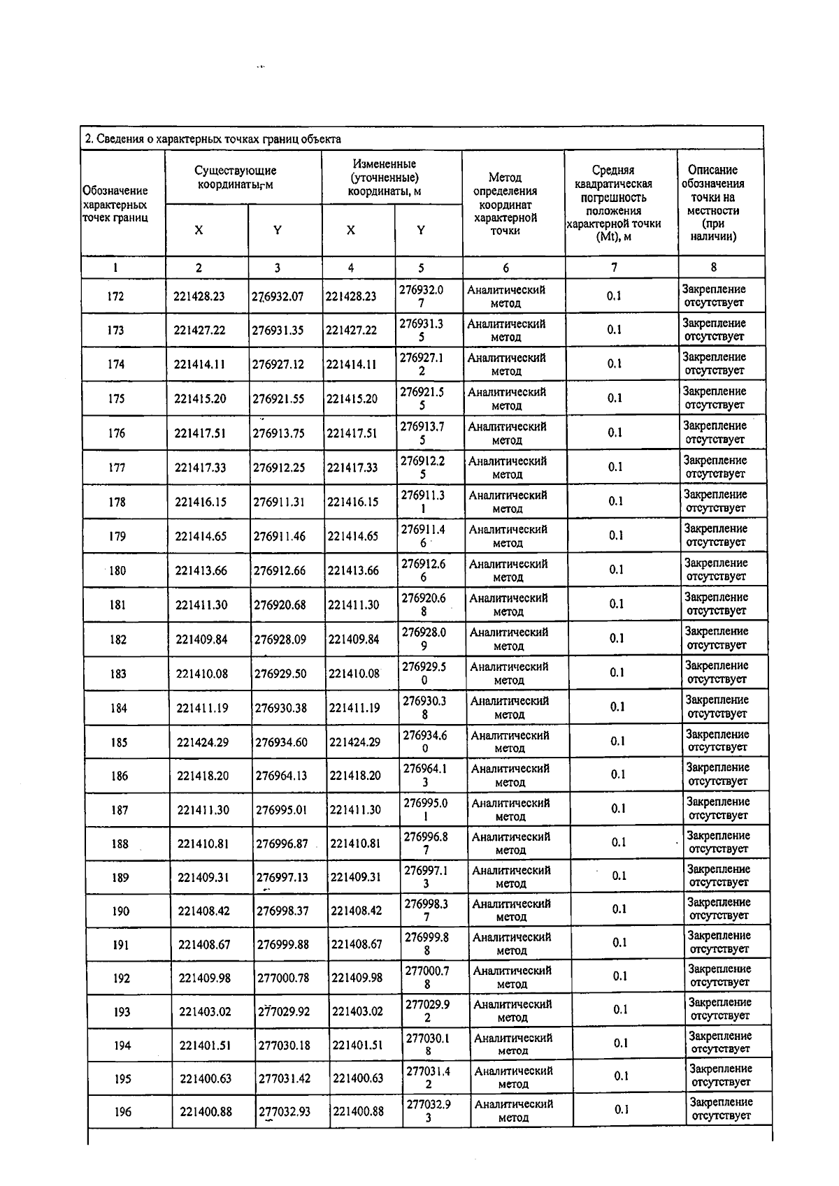
Страница №11 из 16:
Увеличить