Официальное опубликование правовых актов
ОФИЦИАЛЬНОЕ ОПУБЛИКОВАНИЕ
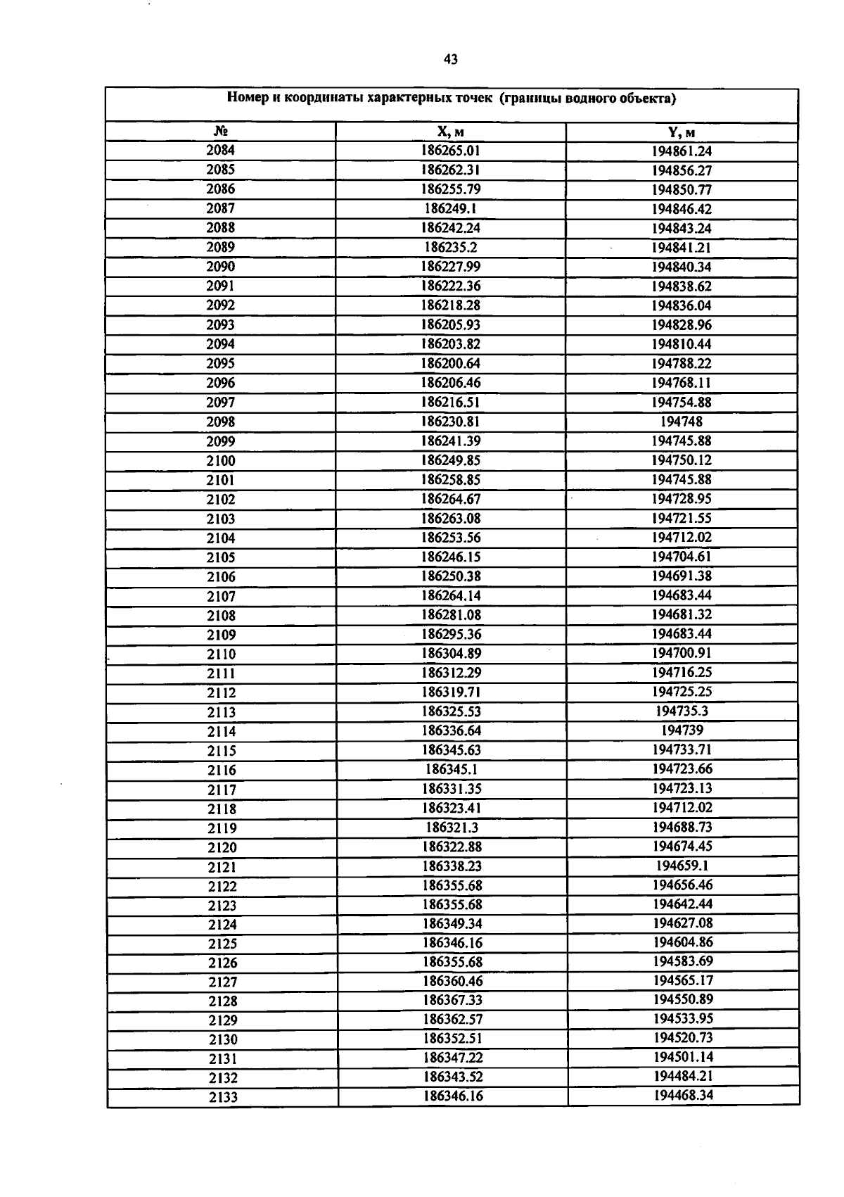
Приказ Министерства природопользования и экологии Владимирской области от 26.05.2025 № 23-н
"О внесении изменений в приказ Министерства природопользования и экологии Владимирской области от 07 июня 2023 года № 75-н"
(Зарегистрирован 26.05.2025 № МПЭ2025-023)
Номер опубликования: 3301202505260004
Дата опубликования: 26.05.2025
Страница №45 из 71:
Увеличить