Официальное опубликование правовых актов
ОФИЦИАЛЬНОЕ ОПУБЛИКОВАНИЕ
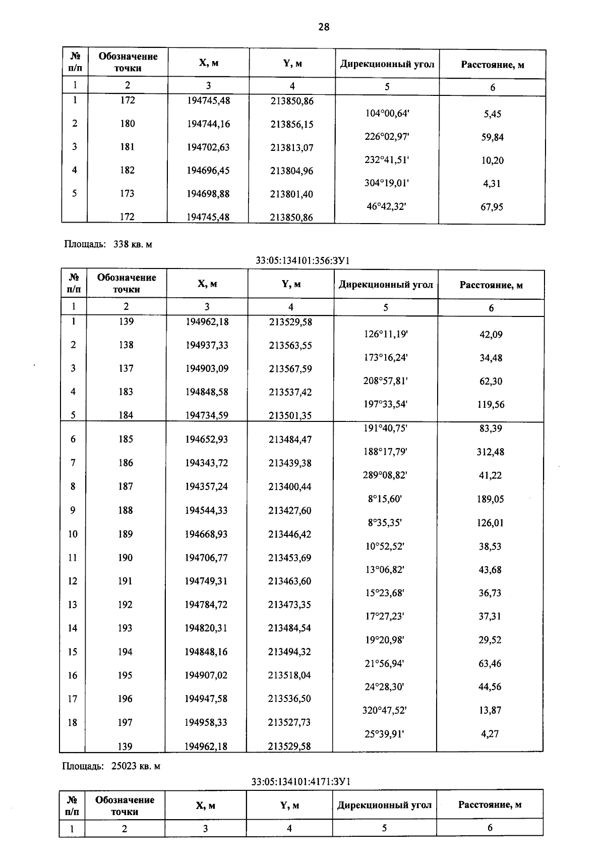
Приказ Министерства архитектуры и строительства Владимирской области от 19.03.2025 № 5-Н
"О внесении изменений в приказ Министерства архитектуры и строительства Владимирской области от 12.09.2024 № 25-Н"
(Зарегистрирован 19.03.2025 № МАС2025-005)
Номер опубликования: 3301202503200005
Дата опубликования: 20.03.2025
Страница №29 из 48:
Увеличить