Официальное опубликование правовых актов
ОФИЦИАЛЬНОЕ ОПУБЛИКОВАНИЕ
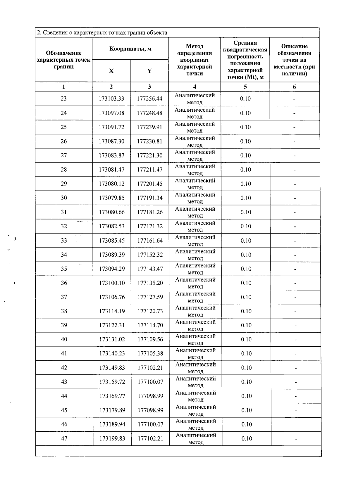
Приказ Министерства природопользования и экологии Владимирской области от 25.02.2025 № 10-н
"Об установлении зон санитарной охраны источников питьевого, хозяйственно-бытового и технического водоснабжения ООО "Золотой стандарт"
(Зарегистрирован 25.02.2025 № МПЭ2025-010)
Номер опубликования: 3301202502250003
Дата опубликования: 25.02.2025
Страница №11 из 23:
Увеличить