Официальное опубликование правовых актов
ОФИЦИАЛЬНОЕ ОПУБЛИКОВАНИЕ
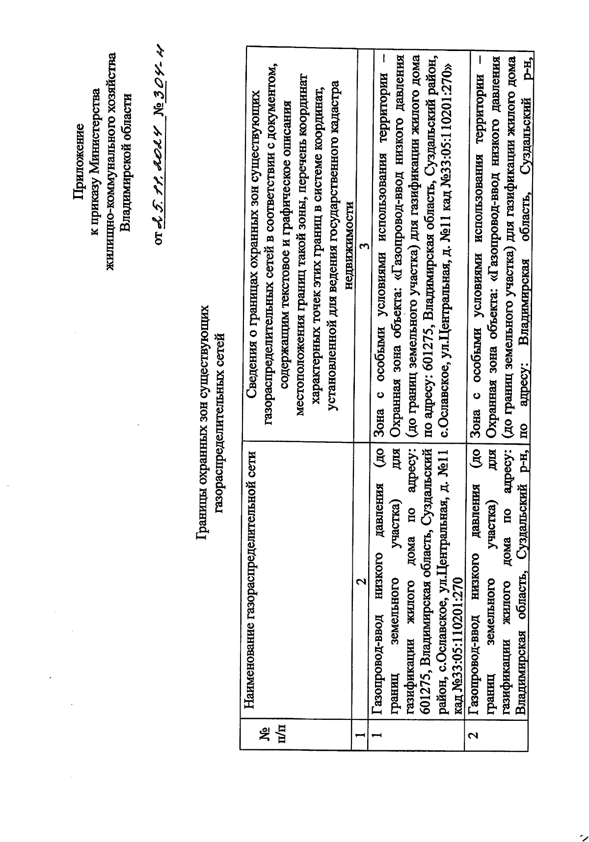
Приказ Министерства жилищно-коммунального хозяйства Владимирской области от 25.11.2024 № 304-н
"Об утверждении границ охранных зон газораспределительных сетей"
(Зарегистрирован 25.11.2024 № МЖКХ2024-304)
Номер опубликования: 3301202411290006
Дата опубликования: 29.11.2024
Страница №2 из 4:
Увеличить