Официальное опубликование правовых актов
ОФИЦИАЛЬНОЕ ОПУБЛИКОВАНИЕ
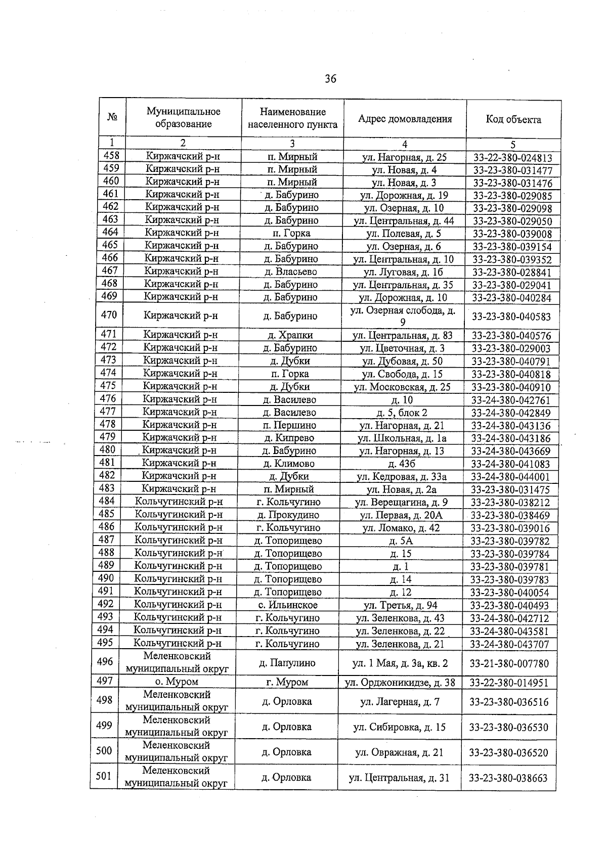
Приказ Министерства государственного регулирования цен и тарифов Владимирской области от 31.10.2024 № 40/180
"Об утверждении экономически обоснованных расходов АО "Газпром газораспределение Владимир" на выполнение мероприятий по технологическому присоединению в рамках догазификации в 3 квартале 2024 года"
(Зарегистрирован 31.10.2024 № МГРЦТ2024-180)
Номер опубликования: 3301202411010012
Дата опубликования: 01.11.2024
Страница №36 из 38:
Увеличить