Официальное опубликование правовых актов
ОФИЦИАЛЬНОЕ ОПУБЛИКОВАНИЕ
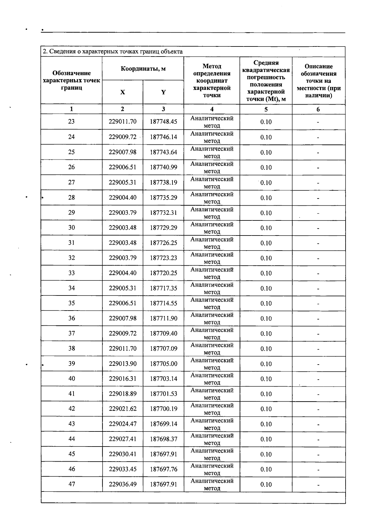
Приказ Министерства природопользования и экологии Владимирской области от 28.10.2024 № 94-н
"Об установлении зон санитарной охраны источников питьевого и хозяйственно-бытового водоснабжения МУП Юрьев-Польского района "Водоканал"
(Зарегистрирован 28.10.2024 № МПЭ2024-094)
Номер опубликования: 3301202410280011
Дата опубликования: 28.10.2024
Страница №5 из 26:
Увеличить