Официальное опубликование правовых актов
ОФИЦИАЛЬНОЕ ОПУБЛИКОВАНИЕ
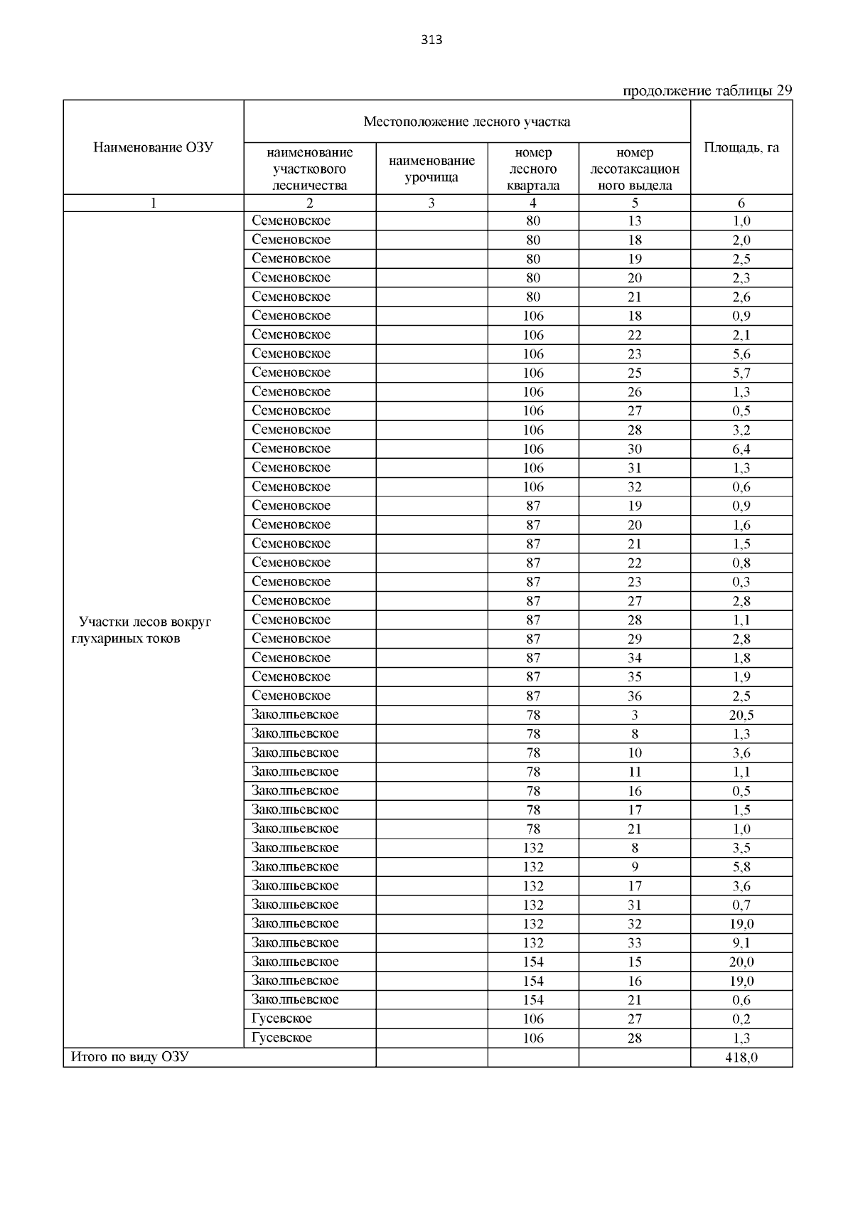
Приказ Министерства лесного хозяйства Владимирской области от 25.10.2024 № 14-н
"О внесении изменений в приложение № 2 к постановлению департамента от 08.10.2018 № 14"
(Зарегистрирован 25.10.2024 № МЛХ2024-014)
Номер опубликования: 3301202410280001
Дата опубликования: 28.10.2024
Страница №314 из 423:
Увеличить