Официальное опубликование правовых актов
ОФИЦИАЛЬНОЕ ОПУБЛИКОВАНИЕ
Приказ Министерства природопользования и экологии Владимирской области от 21.10.2024 № 92-н
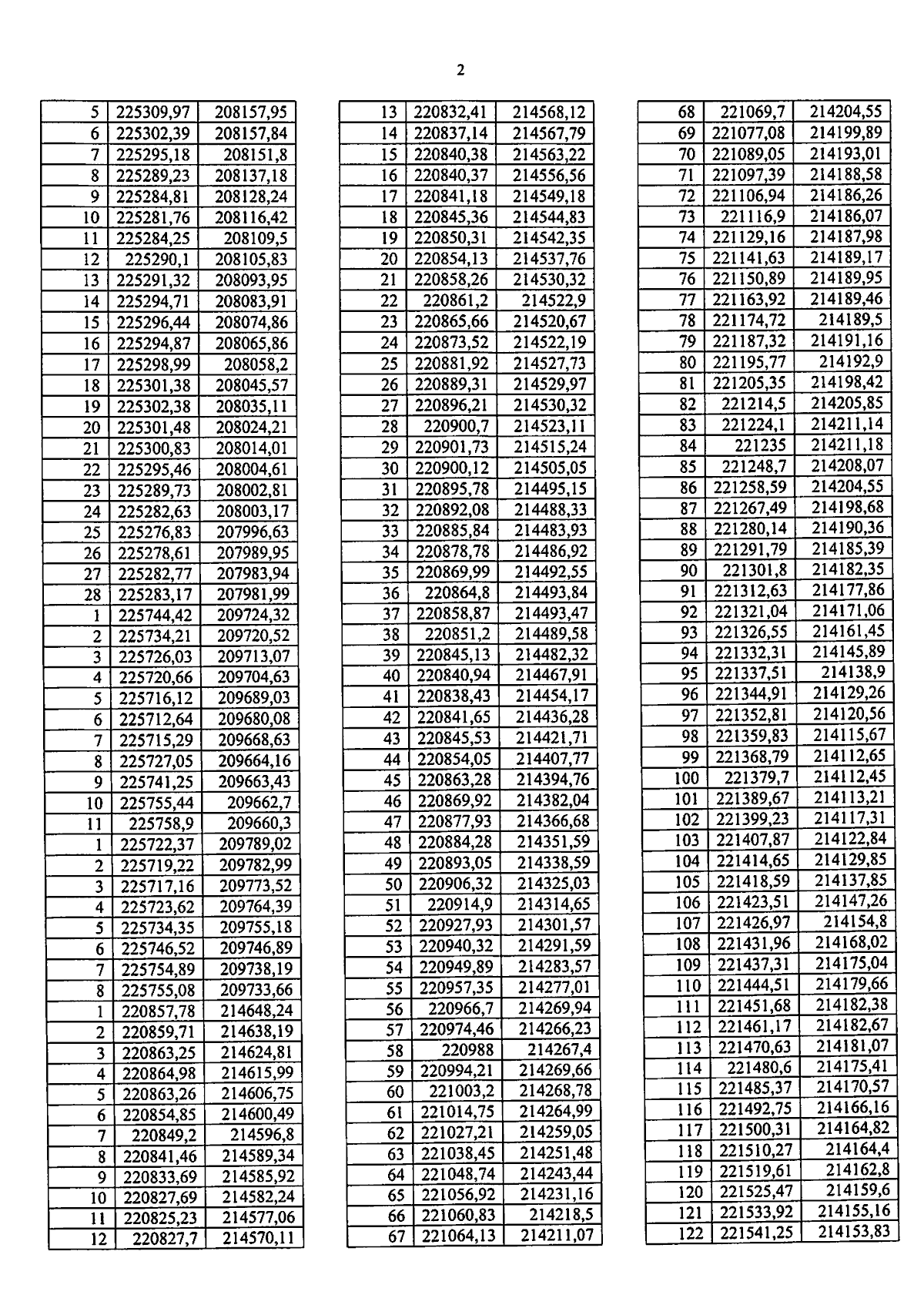
"Об утверждении местоположения береговой линии (границы водного объекта), границ водоохранных зон и границ прибрежных защитных полос реки Тумка"
(Зарегистрирован 21.10.2024 № МПЭ2024-092)
Номер опубликования: 3301202410220010
Дата опубликования: 22.10.2024
Страница №4 из 25:
Увеличить