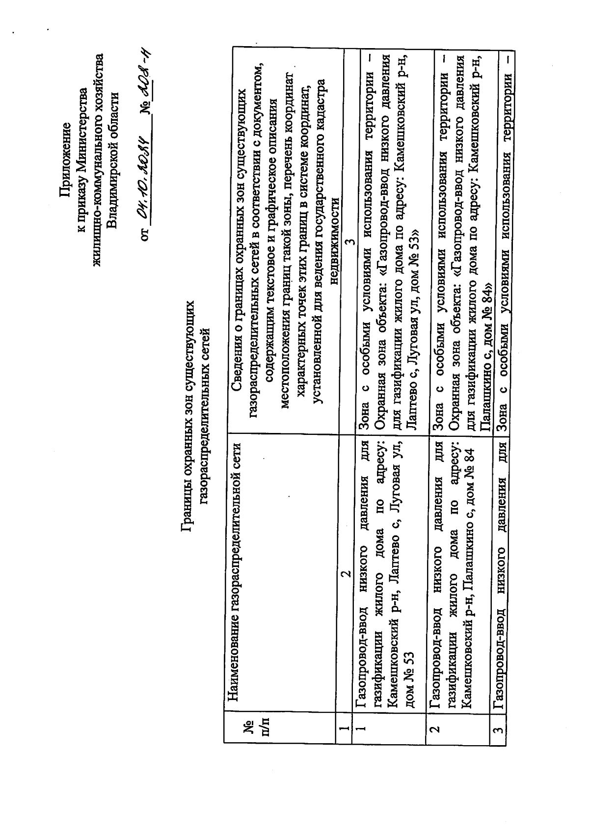
Приказ Министерства жилищно-коммунального хозяйства Владимирской области от 04.10.2024 № 202-н
"Об утверждении границ охранных зон газораспределительных сетей"
(Зарегистрирован 04.10.2024 № МЖКХ2024-202)
"Об утверждении границ охранных зон газораспределительных сетей"
(Зарегистрирован 04.10.2024 № МЖКХ2024-202)
Номер опубликования: 3301202410040003
Дата опубликования:
04.10.2024
