Официальное опубликование правовых актов
ОФИЦИАЛЬНОЕ ОПУБЛИКОВАНИЕ
Приказ Министерства природопользования и экологии Владимирской области от 17.09.2024 № 70-н
"Об установлении зон санитарной охраны источников питьевого, хозяйственно-бытового водоснабжения МУП ЖКХ Гусь-Хрустальный район"
(Зарегистрирован 17.09.2024 № МПЭ2024-070)
Номер опубликования: 3301202409170001
Дата опубликования: 17.09.2024
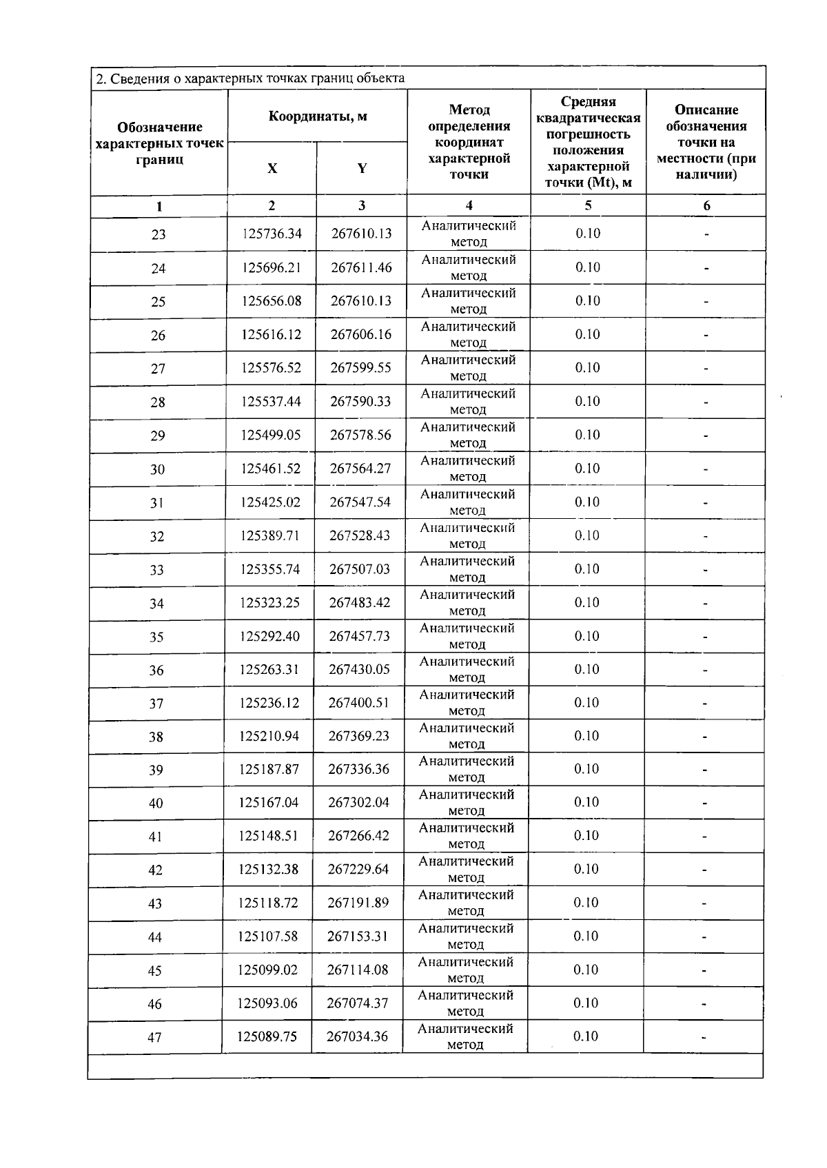
Страница №19 из 48:
Увеличить