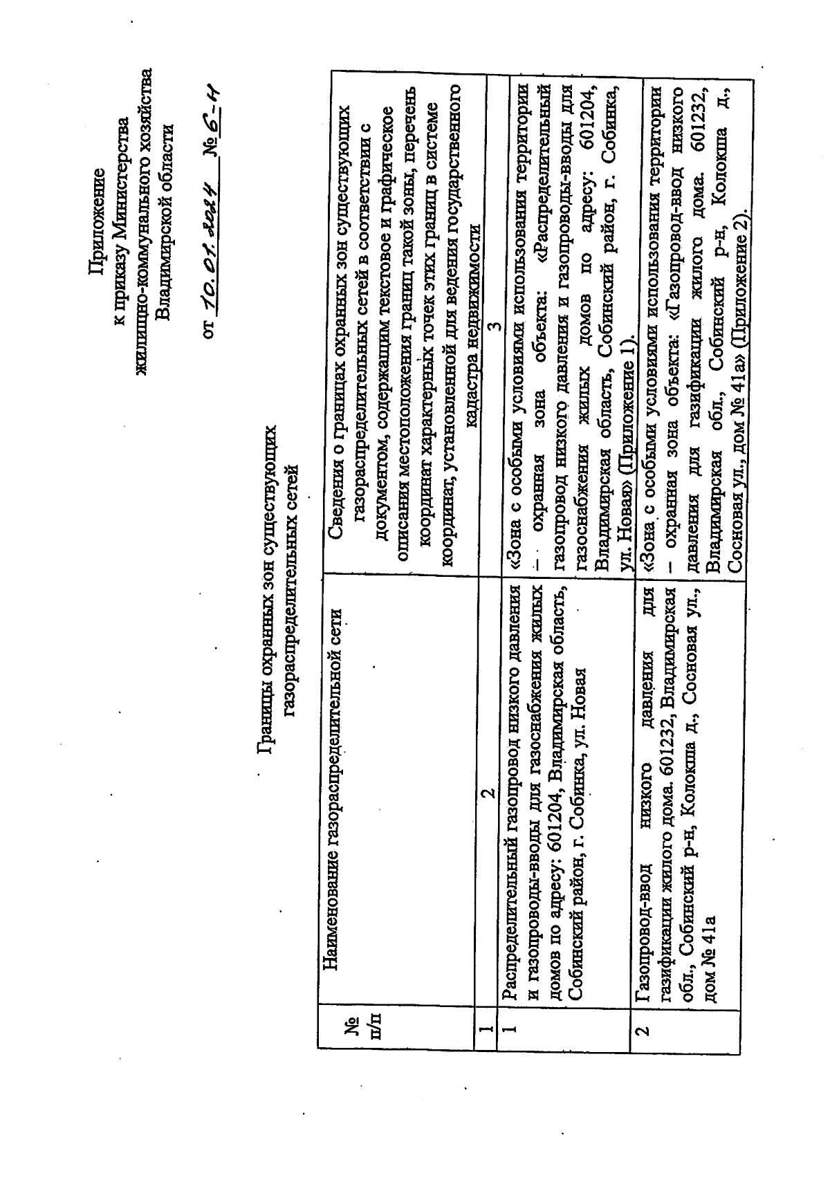
Приказ Министерства жилищно-коммунального хозяйства Владимирской области от 10.01.2024 № 6-н
"Об утверждении границ охранных зон газораспределительных сетей"
(Зарегистрирован 10.01.2024 № МЖКХ2024-006)
"Об утверждении границ охранных зон газораспределительных сетей"
(Зарегистрирован 10.01.2024 № МЖКХ2024-006)
Номер опубликования: 3301202401170018
Дата опубликования:
17.01.2024
