Официальное опубликование правовых актов
ОФИЦИАЛЬНОЕ ОПУБЛИКОВАНИЕ
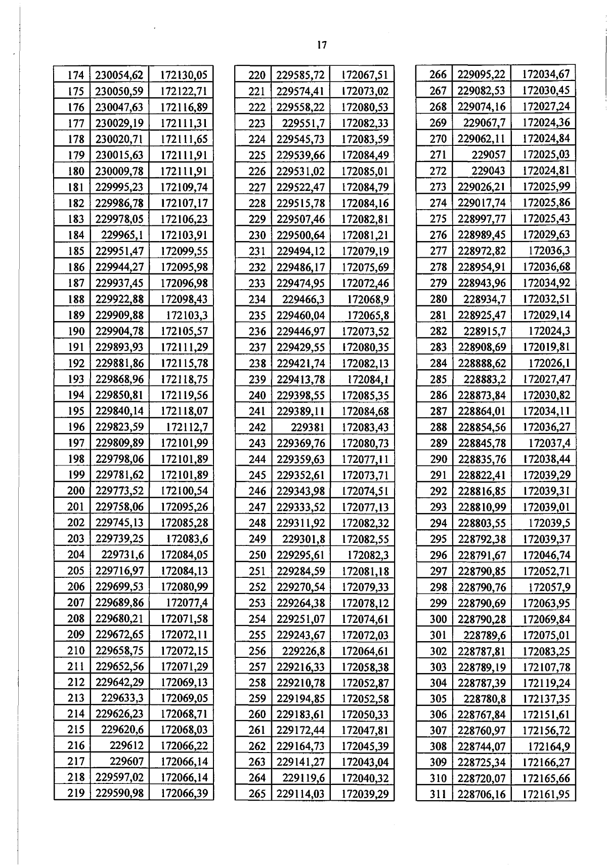
Приказ Министерства природопользования и экологии Владимирской области от 20.11.2023 № 126-н
"Об утверждении границ водоохранной зоны и прибрежной защитной полосы реки Жуковка"
(Зарегистрирован 20.11.2023 № МПЭ2023-126)
Номер опубликования: 3301202311200010
Дата опубликования: 20.11.2023
Страница №20 из 57:
Увеличить